Настольная книга учителя химии 10 класс - поурочные разработки
СПОСОБЫ ПОЛУЧЕНИЯ И ФИЗИЧЕСКИЕ СВОЙСТВА ПРЕДЕЛЬНЫХ УГЛЕВОДОРОДОВ - УГЛЕВОДОРОДЫ
Цели урока. Рассмотреть основные способы лабораторного и промышленного получения алканов. Познакомить учащихся с таким важнейшим источником алканов, как нефть. Дать понятие о биогазе. Рассмотреть физические свойства предельных углеводородов.
Оборудование: кристаллические CH3COONa, NaOH, КМnO4, прибор для получения газов, пробирки. Демонстрационные образцы: газовая зажигалка с прозрачным резервуаром, бензин (авиационный или для зажигалок), вазелин, парафин, сырая нефть из школьного набора, парафиновая свеча, модели молекул Стюарта — Бриглеба.
I. Способы получения алканов
Учитель, опираясь на знания учащихся из курса неорганической химии, напоминает, что способы получения алканов, как и любых других практически значимых веществ, можно разделить на промышленные и лабораторные (рис. 3).

Рис. 3. Способы получения предельных углеводородов
Важнейшими природными источниками предельных углеводородов являются полезные ископаемые — нефть и газ. Обычно они обнаруживаются вместе в нефтеносных слоях, расположенных между слоями горных пород.
Вопрос о природных источниках углеводородов — благодатный материал для межпредметных связей. Почему бы не «поэкзаменовать» ребят по географии? В настоящее время природный газ и сырая нефть добывается на всех континентах, кроме Антарктиды. Каких? (Южная и Северная Америка, Евразия, Африка, Австралия). Крупнейшими поставщиками природного газа на мировой рынок являются Россия, Алжир, Иран, США. Лидерами по добыче нефти являются Россия, Саудовская Аравия, Кувейт, Иран, Азербайджан. В качестве занимательного материала учитель может сообщить ребятам следующее.
Залежи сырой нефти и газа возникли 100-200 миллионов лет назад в толще Земли. Происхождение нефти — одна из сокровенных тайн природы. Свои «за» и «против» приводят сторонники неорганической теории ее происхождения, которой придерживался знаменитый Д. И. Менделеев. Большинство же ученых склоняется к органической теории, у истоков которой стояли выдающиеся русские ученые М. В. Ломоносов и Н. Д. Зелинский.
Современная наука имеет веские доказательства того, что в доисторические времена микроскопические морские растения и животные оказались включенными в осадочные породы, образовавшиеся на дне моря. В результате все более глубокого погребения под толщей осадочных пород органические вещества подверглись воздействию высоких температур и давления, что привело к их термическому разложению и образованию нефти и газа.
Нефть известна человечеству с древних времен. На берегу Евфрата она добывалась 6-7 тыс. лет до н. э. Использовалась она для освещения жилищ, для приготовления строительных растворов, в качестве лекарств и мазей, при бальзамировании. Нефть в древнем мире была грозным оружием: огненные реки лились на головы штурмующих крепостные стены, горящие стрелы, смоченные в нефти, летели в осажденные города. Нефть являлась составной частью зажигательного средства, вошедшего в историю под названием «греческого огня». В средние века она использовалась главным образом для освещения улиц.
В начале XIX в. в России из нефти путем перегонки было получено осветительное масло, названное керосином, который использовался в лампах, изобретенных в середине XIX в. В тот же период в связи с ростом промышленности и появлением паровых машин стал возрастать спрос на нефть, как источник смазочных веществ. Внедрение в конце 60-х гг. прошлого века бурения нефтяных скважин считается зарождением нефтяной промышленности.
На рубеже XIX—XX вв. были изобретены бензиновый и дизельный двигатели. Это привело к бурному развитию добычи нефти и ее переработки.
Нефть — это «сгусток энергии». С помощью всего лишь 1 мл ее можно нагреть на один градус целое ведро воды, а для того чтобы вскипятить ведерный самовар, нужно менее половины стакана нефти. По концентрации энергии в единице объема нефть занимает первое место среди природных веществ. Даже радиоактивные руды не могут конкурировать с ней в этом отношении, т. к. содержание в них радиоактивных веществ настолько мало, что для извлечения 1 мг ядерного топлива надо переработать тонны горных пород.
Нефть — это не только основа топливно-энергетического комплекса любого государства. Учитель напоминает ребятам знаменитые слова Д. И. Менделеева: «Топить можно и ассигнациями!» В каждой капле нефти содержится более 900 различных химических соединений, более половины химических элементов Периодической системы. Это действительно чудо природы, основа нефтехимической промышленности. Примерно 90% всей добываемой нефти используется в качестве топлива. Несмотря на «свои 10%», нефтехимический синтез обеспечивает получение многих тысяч органических соединений, которые удовлетворяют насущные потребности современного общества. Недаром люди уважительно называют нефть «черным золотом», «кровью Земли».
В промышленности, технике и быту индивидуальные (химически чистые) углеводороды используются нечасто. Вполне достаточно иметь смесь алканов, близких по молекулярной массе. Например, природный газ главным образом состоит из метана (88-95%), этана (3-8%), пропана (0,7-2%) и бутана (0,2-0,7%) с примесью неорганических газов. Для получения практически ценных веществ из нефти ее подвергают ректификации — разделению на фракции, что подробно описано в учебнике. Фракция — это смесь веществ, температуры кипения которых находятся в определенном заданном интервале.
Переходя к рассмотрению процессов промышленной переработки нефтепродуктов, учитель начинает с сообщения о том, что наиболее ценной фракцией прямой перегонки нефти является бензин. Однако выход этой фракции не превышает 17-20% от массы сырой нефти. Возникает проблема: как удовлетворить все возрастающие потребности общества в автомобильном и авиационном топливе? Решение было найдено в конце XIX в. русским инженером Владимиром Григорьевичем Шуховым. В 1891 г. он впервые осуществил промышленный крекинг керосиновой фракции нефти, что позволило увеличить выход бензина до 65-70% (в расчете на сырую нефть)! Только за разработку процесса термического крекинга нефтепродуктов благодарное человечество золотыми буквами вписало имя этого уникального человека в историю цивилизации. Однако немногие знают, что Шуховым в Саратове были созданы речные наливные баржи для перевозки нефти. Эти суда впервые в мире собирались из отдельных секций, что позволяло спускать их со стапелей в очень короткий срок. Для загрузки и разгрузки баржи В. Г. Шухов использовал не мускульную силу, как было до тех пор, а паровые насосы. На бакинских нефтяных промыслах Владимир Григорьевич изобрел первый трубопровод для перекачки нефти с подогревом, это позволило избежать кристаллизации парафина на стенках труб и образования парафиновых пробок.
Процесс изомеризации алканов нормального строения называется также риформингом. Он имеет очень большое значение для повышения качества бензиновой фракции, получаемой после первичной перегонки сырой нефти. Каталитическая изомеризация протекает по ионному механизму.
Учитель завершает рассмотрение промышленных способов получения алканов проблемной ситуацией. Добыча и потребление нефти уже давно превратились из чисто экономического вопроса в особую форму межгосударственных политических отношений. Казалось бы, нефтедобывающим странам экономически выгодно наращивание добычи и продажи нефти. Однако в этом случае цены на сырье упадут и вместо прибыли будут приносить убытки. Каждое государство имеет определенную квоту на объем продажи «черного золота», которая является предметом острейшей борьбы крупнейших нефтяных монополий и ведущих промышленно развитых стран.
Вместе с тем добыча и потребление нефти ежегодно увеличивается в среднем на 8%. По оценкам специалистов разведанных запасов хватит только на ближайшие 50-70 лет. Нельзя ли использовать современные растительные и животные остатки для производства если не нефти, то хотя бы газа (он называется биогазом)? Оказывается, это вполне возможно и уже в значительных масштабах используется во многих развивающихся странах (Индия, Китай). На заводах по производству биогаза в качестве сырья используются отходы животного и растительного происхождения, которые перегнивают в генераторах под действием анаэробных бактерий (рис. 4). Подобно природному газу, биогаз состоит главным образом из метана. Его можно использовать непосредственно для отопления жилищ, приготовления пищи или получения электроэнергии с помощью электрогенератора. Остатки растительных и животных отходов после получения биогаза могут использоваться в качестве высокоэффективных экологически чистых удобрений, т. к. содержат значительное количество связанного азота.

Рис. 4. Получение и использование биогаза
Из лабораторных способов получения алканов наиболее часто в задачах различного типа встречается синтез Вюрца и пиролиз солей карбоновых кислот со щелочами.
Французский химик, член Парижской академии наук Шарль Адольф Вюрц в 1855 г. разработал универсальный способ синтеза предельных углеводородов нагреванием галогеналканов с металлами (натрием, цинковой пылью). Кстати, помимо приведенной реакции Ш. Вюрц внес огромный вклад в развитие органической химии, в его честь назван минерал вюрцит.
Для наглядности в уравнении реакции Вюрца учитель показывает, как под действием металла образуются радикалы, которые соединяются между собой в молекулу нового алкана. Этот процесс удобно изобразить и с помощью моделей молекул.

Сильным учащимся, очевидно, будет по силам решить проблемную ситуацию: «Какие вещества получатся, если в реакцию Вюрца ввести два различных галогеналкана?» Очевидно, возможны три различных комбинации двух галогеналканов, которые должны привести к синтезу трех конечных углеводородов:

Более сложна для учащихся обратная задача, например: какой галогеналкан следует взять в реакцию Вюрца, чтобы получить 2,3-диметилбутан? Решение лучше осуществлять от обратного:
— изобразить формулу требуемого продукта

— разделить ее пополам (на два радикала)

— добавить к радикалам атом галогена

Это 2-бромпропан:

Замечательная особенность реакции Вюрца — удвоение числа атомов углерода в продукте по сравнению с исходным веществом.
Особенность другого лабораторного способа получения алканов состоит в уменьшении числа углеродных атомов на единицу. Речь идет о пиролизе (нагревании вещества, приводящем к его разложению) солей карбоновых кислот со щелочью. Учитель демонстрирует эту реакцию, нагревая в пробирке с газоотводной трубкой смесь ацетата натрия с гидроксидом натрия. Учащиеся констатируют, что метан нерастворим в воде (его можно собрать в пробирку методом вытеснения воды), не обесцвечивает раствор перманганата калия, горит бледно-голубым пламенем.
![]()
Написав на доске левую половину уравнения, учитель предлагает ребятам определить, какое неорганическое вещество (обведенное в рамочку) выделяется в качестве побочного продукта (карбонат натрия). Можно вспомнить, что функциональная группа карбоновых кислот называется карбоксильной. В этой реакции производное карбоновой кислоты (соль) теряет карбоксильный фрагмент, поэтому реакция называется декарбоксилированием.
Примером специфического способа получения алканов является гидролиз карбида алюминия. Этимология слова гидролиз (от греческого слов hydor— вода и lysis — разложение, распад) позволяет определить такие реакции, как процесс разложения сложного соединения на два или более новых вещества под действием воды.
![]()
II. Физические свойства алканов
Учитель обращает внимание ребят на то, что в любом, гомологическом ряду с увеличением числа атомов углерода в цепи (т. е. с увеличением относительной молекулярной массы) возрастают температуры 'плавления, кипения, плотность веществ. Это одно из подтверждений закона природы о переходе количества в качество. Таким образом, алканы могут существовать в трех различных агрегатных состояниях. Учащиеся вспоминают типы агрегатных состояний, различия между ними с точки зрения межмолекулярного взаимодействия и степени упорядоченности молекул. Учитель на доске обобщает ответы, записывая схему (рис. 5).

Рис. 5. Агрегатные состояния вещества
Учитель демонстрирует образцы алканов. Газообразный углеводород увидеть непросто, но в газовой зажигалке под давлением пропан и бутан являются бесцветными жидкостями. При нажатии на клапан на волю с легким шипением вырываются бесцветные газообразные алканы, практически лишенные запаха. Если зажечь зажигалку, то алканы горят слегка окрашенным пламенем.
Жидкие предельные углеводороды (бензин) уже имеют запах. Учитель приливает несколько миллилитров бензина в пробирку с водой. Границу раздела видно плохо, обе жидкости бесцветны. При интенсивном встряхивании пробирки образуется мутная эмульсия, которая быстро расслаивается: предельные углеводороды нерастворимы в воде. Если бросить в пробирку кристаллик перманганата калия, водный слой окрасится. Окраска не исчезнет, поскольку алканы не реагируют с водным раствором КМnO4.
Вазелин — смесь жидких и твердых предельных углеводородов. Можно убедиться, что алканы с большой молекулярной массой жирные на ощупь. Парафин — смесь твердых углеводородов, имеет аморфное состояние. Учитель показывает, что кусочек парафина плавает на поверхности воды (его плотность меньше единицы) и легко плавится (при нагревании воды в пробирке кусочек парафина превратится в жидкость). Однако предельные углеводороды легко растворяются в неполярных органических растворителях, жидкие алканы смешиваются друг с другом.
Все газообразные и жидкие алканы образуют взрывоопасные смеси с воздухом, поэтому в быту с ними надо обращаться очень осторожно.
Для закрепления материала рекомендуется решить ряд задач на способы получения алканов, а также вспомнить задачи на нахождение формулы вещества по массовым долям элементов (алгоритм решения приведен в книге для учителя, 9 класс, глава «Органические вещества», а также ниже).
Алгоритм решения задач на вывод формулы вещества
1. Обозначить формулу вещества с помощью индексов х, у, z и т. д. по числу элементов в молекуле.
2. Если в условии не дана массовая доля одного элемента, вычислить ее как разность 100% и массовых долей всех остальных элементов.
3. Найти отношение индексов х:у:z как отношение частных от деления массовой доли элемента на его относительную атомную массу. Привести частные от деления к отношению целых чисел. Определите простейшую формулу вещества.
4. В задачах на нахождение формул органических веществ часто требуется сравнить относительную молекулярную массу простейшей формулы с Мг истинной, найденной по условию задачи (чаще всего плотности по воздуху или по водороду). Отношение этих масс дает число, на которое надо умножить индексы простейшей формулы.
Пример. Углеводород, плотность паров которого по водороду равна 15, содержит 80,0% углерода. Найдите его молекулярную формулу.
Дано:
ω (С) = 80,0%
Dh2 (в-ва) = 15
Формула — ?
Решение:
1. Обозначим формулу углеводорода CxHy.
2. Вычислим массовую долю водорода в соединении:
![]()
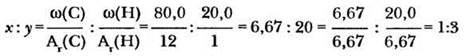
3. Найдем отношение индексов х:у

Простейшая формула соединения СН3.
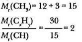
4. Рассчитаем относительную молекулярную массу углеводорода:
![]()
Сравним ее с относительной молекулярной массой простейшей формулы:

Выяснили, что число атомов обоих элементов в простейшей формуле надо увеличить в два раза. Истинная формула вещества С2Н6.
Задание 1
1-й уровень
Объемные доли компонентов природного газа одного из месторождений составляют: 92% метана, 5% этана, 2% пропана, 0,7% оксида углерода (IV) и 0,3% азота. Определите объемы каждого углеводорода в 120 м3 природного газа.
2-й уровень
Объемные доли алканов в природном газе равны: метан — 91%, этан — 6%, пропан — 2%, бутан — 1%. Вычислите массовые доли газов и рассчитайте объем воздуха, который потребуется для сжигания 1 м3 природного газа такого состава (условия нормальные, объемная доля кислорода в воздухе 20%).
Задание 2
1-й уровень
1. Какие продукты получаются при крекинге предельного углеводорода состава С14Н30 (тетрадекан)?
2. Какие вещества получатся при нагревании с натрием следующих веществ: а) иодметан; б) 1-бромпропан.
3. Напишите уравнение реакции изомеризации н-бутана.
4. Какие вещества получатся при нагревании пропионата натрия СН3—СН2—COONa с гидроксидом натрия? Напишите уравнение реакции.
2-й уровень
1. Напишите уравнение крекинга следующих алканов: а) н-декан; б) 2,3-диметилбутан.
2. Напишите реакции Вюрца, с помощью которых можно получить следующие углеводороды: а) н-гексан; б) 2,5-диметилгексан.
3. При изомеризации предельного углеводорода нормального строения образуется 2,2,4-триметилпентан. Определите исходный углеводород.
4. Составьте уравнения реакций получения указанных углеводородов нагреванием соли соответствующей кислоты со щелочью: а) пропан; б) 2-метилпропан.
Задание 3
1-й уровень
1. Вычислите массовые доли углерода в четырех первых представителях гомологического ряда алканов.
2. Определите формулу углеводорода, массовая доля углерода в котором 75%, а водорода — 25%.
2-й уровень
1. Вычислите массовые доли водорода в четырех первых представителях гомологического ряда алканов. Сделайте вывод о дальнейшем изменении массовой доли водорода следующих гомологов.
2. Массовая доля углерода в углеводороде составляет 82,76%. При нормальных условиях 10 л этого газа имеют массу 25,88 г. Составьте структурные формулы изомеров углеводорода и назовите их по международной номенклатуре.