Настольная книга учителя химии 10 класс - поурочные разработки
СЛОЖНЫЕ ЭФИРЫ: ИХ СТРОЕНИЕ, ПОЛУЧЕНИЕ, СВОЙСТВА, ИСПОЛЬЗОВАНИЕ В БЫТУ - КИСЛОРОДОСОДЕРЖАЩИЕ СОЕДИНЕНИЯ
Цели урока. Рассмотреть строение, свойства и получение сложных эфиров, как обобщение по химии карбоновых кислот и спиртов. Показать значения сложных эфиров в природе и познакомить учащихся с их применением в быту.
Оборудование: уксусно-этиловый эфир, уксусно-изоамиловый эфир (синтезированный ранее). Демонстрационные образцы: пластиковая бутылка из полиэтилентерефталата, кусочки ткани из полиэфирного волокна, воск, яблоко, жидкость для снятия лака на основе уксусно-этилового эфира, растворитель 647 или 648.
I. Получение и свойства сложных эфиров
Материал, касающийся получения сложных эфиров реакцией этерификации, обратимость этого процесса и способы смещения, равновесия учащимся уже известны. На уроке остается изучить и закрепить важные аспекты химии сложных эфиров, а именно.
— номенклатуру и межклассовую изомерию с карбоновыми кислотами.
— иные способы получения сложных эфиров (для профильных классов).
— полиэфиры на примере лавсана;
— гидролиз сложных эфиров, как их важнейшее химическое свойство.
— сложные эфиры в природе и промышленности.
Реакция этерификации — часть домашнего задания по химическим свойствам карбоновых кислот. Учитель просит кого-либо из учащихся написать на доске несколько уравнений, сопровождая их комментариями.
В 1759 г. де Лаурагваис перегонял «крепкую уксусную кислоту с винным спиртом» и получил некоторое количество жидкости, запах которой отличался от запаха исходных веществ. Это был уксусно-этиловый эфир — производное карбоновой кислоты, относящееся к классу сложных эфиров.
![]()
Существует по крайней мере четыре различных способа составления названий сложных эфиров. Самое длинное название состоит из четырех слов. Самые короткие (в одно слово) предполагают называть сложные эфиры аналогично солям карбоновых кислот. Учитель просит отвечающего у доски написать все четыре названия, они сохраняются как образец номенклатуры сложных эфиров
этиловый эфир уксусной кислоты,
уксусно-этиловый эфир,
этилацетат,
этилэтаноат.
Термин «эфир» впервые применил к синтезированному веществу в 1782 г. Карл Шееле. В груде «Исследования и заметки об эфире» он также указал, что катализатором данной реакции служат минеральные кислоты, в частности серная.
Аналогичным способом в 1777 г. был получен муравьино-этиловый эфир, а годом раньше — эфир двухосновной щавелевой кислоты и этилового спирта (диэтиловый эфир щавелевой кислоты):

Сложные эфиры представляют собой бесцветные жидкости, нерастворимые в воде и обладающие сравнительно невысокими температурами кипения. Два последних свойства обусловлены отсутствием у сложных эфиров межмолекулярных водородных связей. Ребятам уже известно, что многие сложные эфиры обладают приятным запахом, а также являются хорошими растворителями органических веществ.
С большими выходами сложные эфиры получают на основе функциональных производных карбоновых кислот. Учащимся профильных классов уже знакомы реакции ангидридов и галогенангидридов со спиртами, поэтому им по силам выполнить следующие задания.
Написать уравнения реакции получения:
— уксусно-фенилового эфира взаимодействием фенола с хлорангидридом уксусной кислоты

— этилового эфира бензойной кислоты взаимодействием соответствующих хлорангидрида кислоты и спирта

— аспирина (ацетилсалициловой кислоты) взаимодействием салициловой (2-гидроксибензойной) кислоты с уксусным ангидридом

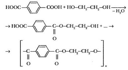
Учитель ставит перед учащимися профильного класса проблемную ситуацию. Этерификация — это взаимодействие органической кислоты со спиртом. Известно, что карбоновые кислоты бывают двухосновные, а спирты — двухатомные. Как в этом случае будет протекать реакция этерификации? В качестве примера ребята рассматривают взаимодействие терефталевой (1,4-бензолдикарбоновой) кислоты с этиленгликолем. Сложный эфир, полученный из одной молекулы кислоты и одной молекулы спирта, содержит как гидроксильную, так и карбоксильную группу, следовательно, он может вступать в реакцию дальше.

Как называется в химии такой тип реакции? Это реакция поликонденсации, в результате которой получается полимерный продукт. Он называется полиэтилентерефталат и относится к группе сложных полиэфиров. Ребята с помощью учителя определяют элементарное звено полиэтилентерефталата. Это очень распространенный синтетический полимер. Из него изготавливают прозрачные пленки, предметы быта, а также всем известные пластиковые бутылки для шипучих напитков или минеральной воды. Учитель демонстрирует этикетку на пластиковой бутылке, имеющую маркировку ПЭТ (РЕТ).
Небольшой демонстрационный или лабораторный эксперимент знакомит учащихся со свойствами полиэтилентерефталата. Это термопластичный полимер, при температуре около 170 °С переходит в вязко-текучее состояние. Учитель поджигает полоску ПЭТ длиной 5-6 см. Вещество «неохотно» горит красным коптящим пламенем (осторожно, горячие капли!). Если потянуть расплавленный полимер с помощью спички или деревянной палочки, образуется тонкая прочная нить, быстро твердеющая при охлаждении. Из таких нитей в промышленности получают синтетическое волокно, называемое лавсан. Учитель демонстрирует образец ткани из полиэфирного волокна. Обычно при производстве такой ткани лавсановую нить сочетают с хлопком, льном или шерстью. Изделия из полиэфирных тканей не выгорают, стойки к истиранию и смятию, быстро высыхают, их почти не нужно гладить. Учитель спрашивает, почему такие ткани нельзя гладить очень горячим утюгом? Ребята только что имели этому убедительное доказательство: полиэтилентерефталат термически не стоек.
Из всех химических свойств сложных эфиров в школьном курсе важен только гидролиз. Учитель напоминает, что гидролиз сложных эфиров является реакцией, обратной их получению этерификацией карбоновых кислот. Ученик пишет на доске уравнение реакции гидролиза уксусно-этилового эфира:
![]()
Как можно сместить равновесие этой реакции вправо, если ее тепловой эффект очень незначителен, и процесс протекает в растворе? Помимо обычного в этих случаях «увеличения концентрации исходных веществ» (нельзя говорить, что это неверно!) кто-то из учащихся предлагает уменьшить концентрацию продуктов реакции. Проще всего это сделать для уксусной кислоты. Как? Добавить в раствор щелочь. Образующаяся соль не способна к реакции этерификации, равновесие смещается вправо. Такой процесс называется щелочным гидролизом сложного эфира и суммарно выражается уравнением:
![]()
Можно ли в бутылке из-под лимонада хранить раствор щелочи? Несмотря на то что полиэтилентерефталат устойчив к действию многих органических веществ, растворов кислот и солей, его «сложноэфирная природа» сохраняется в реакции со щелочами. Полимер гидролизуется с образованием соли терефталевой кислоты и этиленгликоля:

II. Сложные эфиры в природе, быту и промышленности
Сложные эфиры (даже не включая жиры) — достаточно широко распространенные в природе вещества. Они входят в состав эфирных масел растений, придавая им цветочный или фруктовый аромат Учитывая, что сложные эфиры мало токсичны, это свойство определяет их применение в пищевой и парфюмерной промышленности в качестве отдушек и усилителей запаха.
Сложные эфиры высших карбоновых кислот и высших спиртов называются восками. Пчелиный воск на 70% состоит из сложных эфиров, главным образом пальмитиновой кислоты С15Н31СООН и миристинового спирта С14Н29ОН (нормальное строение углеродной цепи). Ребята выводят формулу миристилпальмитата и пишут уравнение реакции его получения из кислоты и спирта.
Воск в природе является строительным материалом сотов пчелиных ульев, растительные воскоподобные вещества образуют защитную пленку на поверхности плодов и листьев. В этом легко убедиться, поцарапав ножом яблочную кожуру. На лезвие ножа образуются белые чешуйки. Эффект абсолютно аналогичен опыту с парафинированной или вощеной бумагой! В промышленности воски используются как компоненты мазей, кремов, полировочных паст, косметических препаратов, свечей, мыла, для пропитки тканей и кожи. В пищевой промышленности синтетические и природные воски используются в качестве глазирователей (Е901-903, 908-910).
Сложные эфиры (главным образом уксусной кислоты) являются прекрасными растворителями органических веществ и полимеров. По своей растворяющей способности они сравнимы с кетонами (ацетоном), но предпочтительны за счет меньшей летучести и большей температуры кипения. В состав широко известных растворителей 647 и 648 входит 50% уксусно-бутилового эфира или его смеси с уксусно-этиловым.
Учитель демонстрирует пузырек жидкости для снятия лака. Многие девочки и женщины стирают с ногтей старый лак ацетоном. Это, конечно, эффективно, но небезвредно. Ацетон сушит ногтевые пластинки, делает их ломкими и тонкими. Более безопасен в этом отношении растворитель на основе уксусно-этилового эфира с добавлением глицерина, отдушки и некоторых питательных компонентов.
Сложные эфиры двухосновных кислот используются в качестве пластификаторов, т. е. добавок, придающих полимерным материалам пластичность, морозостойкость, расширяют интервал их высокоэластичного состояния. Пластификаторы применяют в производстве пластмасс, резины, искусственной кожи, лакокрасочных материалов.
Задание .
1-й уровень
Два изомерных органических вещества имеют состав C2H4O. Одно из них реагирует с раствором карбоната натрия с выделением углекислого газа, другое не взаимодействует с этим реагентом, но при нагревании с гидроксидом натрия образует спирт и соль. Что это за вещества? Напишите уравнения соответствующих реакций.
2-й уровен.
Уксусно-этиловый эфир и масляная кислота являются межклассовыми изомерами, следовательно, имеют одинаковую относительную молекулярную массу. У какого из веществ температура кипения больше? С чем это связано? (tкип этилацетата 77 °С, t масляной кислоты 164 °С).
Задание 2
1-й уровень
Какую массу уксусной кислоты и бутанола-1 необходимо взять для синтеза уксусно-бутилового эфира, необходимого для приготовления 2 т растворителя № 648? Массовая доля сложного эфира в этом, растворителе составляет 50%, а массовая доля выхода сложного эфира по реакции этерификации 80%.
2-й уровень
1,2-бензолдикарбоновая кислота называется фталевой. Ее диметиловый эфир (диметилфталат) используется в качестве эффективного репеллента — средства для отпугивания насекомых. Предложите схему двухстадийного синтеза диметилфталата из 1,2-диметил-бензола (о-ксилола) и рассчитайте, какая масса этого арена потребуется для получения 100 г сложного эфира, если его суммарный выход по двум стадиям составляет 60%.