Информатика и ИКТ подготовка к ЕГЭ
Вариант № 10 - Учебно-тренировочные тесты - Учебно-тренировочные тесты
Часть 1
А1. Как представляется число 11110 в двоичной системе счисления?
1) 11.
2) 10011.
3) 110110.
4) 1101111
А2. Четыре населенных пункта: А, В, С, D соединены дорогами. Время проезда на машине из одного города в другой указано в таблице.
|
Пункты |
Время в пути |
|
А-В |
2 |
|
А-С |
3 |
|
A-D |
3 |
|
В-С |
3 |
|
B-D |
2 |
|
C-D |
1 |
Определите маршрут, по которому, выезжая из пункта А, турист посетит все города за наименьшее время пути. (Направление движения между пунктами не имеет значения.)
1) ABCD
2) ADBC
3) ACDB
4) ABDC
А3. Символом F обозначено одно из указанных ниже логических выражений от трёх аргументов: X, Y, Z. Дан фрагмент таблицы истинности выражения F:
|
X |
Y |
Z |
F |
|
1 |
0 |
1 |
0 |
|
1 |
1 |
1 |
0 |
|
1 |
0 |
0 |
1 |
Какое выражение соответствует F?

А4. Для групповых операций с файлами используются маски имен файлов. Маска представляет собой последовательность букв, цифр и прочих допустимых в именах файлов символов, в которых также могут встречаться следующие символы: символ «?» (вопросительный знак) означает ровно один произвольный символ; символ «*» (звёздочка) означает любую последовательность символов произвольной длины, в том числе «*» может задавать и пустую последовательность.
Дана группа файлов:
assets.accdt
answers.vct
_base.vct
Bashful.ico
Tasks.cab
dairydash.ico
Base.c
facsimile.ico
Определите, сколько по маске *as*.?c* будет отобрано файлов.
1) .
2) .
3) .
4) 4
А5. Четырёхзначное число, состоящее из цифр от 1 до 6, составлено по следующему правилу: на первом месте стоит чётная цифра, на последнем — нечётная, на втором — цифра, равная среднему арифметическому цифр, стоящих на 1-м и на 3-м месте, на третьем — такая цифра, что может быть выполнено условие для цифры, стоящей на втором месте. Какое из перечисленных ниже чисел составлено по этому правилу?
1) 135.
2) 245.
3) 453.
4) 2461
А6. В фрагменте базы данных представлены сведения о просмотрах фильмов в различных кинотеатрах.
|
Название фильма |
Код кинотеатра |
Количество проданных билетов |
|
Код кинотеатра |
Название кинотеатра |
|
Король Лев |
234 |
229 |
|
321 |
«Синема» |
|
Титаник |
211 |
320 |
|
234 |
«Звезда» |
|
Рио |
234 |
480 |
|
122 |
«Джинн» |
|
Форсаж |
242 |
340 |
|
221 |
«Имитатор» |
|
Кунг-фу Панда 2 |
242 |
380 |
|
242 |
«Радуга» |
|
Живая сталь |
158 |
450 |
|
256 |
«Иллюзия» |
|
Небесный суд |
234 |
280 |
|
211 |
«Фокус» |
|
История дельфина |
211 |
690 |
|
287 |
«Светофор» |
|
Это война |
321 |
856 |
|
158 |
«Монитор» |
По данным фрагментам таблиц определите название фильма, на который было продано наибольшее количество билетов в кинотеатре «Звезда».
1) Это войн.
2) История дельфина
3) Ри.
4) Живая сталь
А7. Дан фрагмент электронной таблицы:
|
|
А |
В |
С |
|
1 |
5 |
9 |
=А$1+В1 |
|
2 |
3 |
7 |
|
Чему станет равным значение ячейки С2, если в неё скопировать ячейку С1?
1) .
2) 1.
3) 1.
4) 14
А8. Производится двухканальная (стерео )звукозапись с частотой дискретизации 88,2 кГц и 24-битным разрешением. Запись длится 1 минуту, её результаты записываются в файл, сжатие данных не производится. Какая из приведённых ниже величин наиболее близка к размеру полученного файла?
1) 0,1 Мбайт
2) 8 Мбайт
3) 15 Мбайт
4) 30 Мбайт
А9. Для кодирования сообщения, состоящего только из букв В, L, М и О, используется двоичный код:
|
В |
L |
М |
О |
|
101 |
001 |
010 |
011 |
Если таким способом закодировать последовательность символов BLOOM и записать результат в шестнадцатеричном коде, то получится
1) 7D2316
2) 529316
3) 79B316
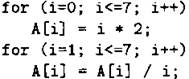
4) 52DA16 А10. Для какого из указанных значений X истинно высказывание 1) -. 2) . 3) . 4) 8 A11. На карте маршрутов города все маршруты обозначены некоторым кодом, в котором первая буква обозначает вид транспорта (А — автобус, Т — троллейбус, Р — трамвай, М — маршрутное такси). Далее идут две цифры — номер маршрута, если номер маршрута 1, то он кодируется как 01. Четвёртый символ — буква (а или б) показывает направление движения, по умолчанию ставится символ а. Каждый код маршрута в компьютерной программе записывается минимально возможным и одинаковым количеством бит (при этом используют посимвольное кодирование и каждый символ кодируется минимально возможным количеством бит). Определите объём памяти, отводимый этой программой для записи 64-х маршрутов. 1) 84 байт 2) 640 бит 3) 64 байта 4) 88 байт А12. В программе описан одномерный восьмиэлементный массив А. Ниже представлен фрагмент одной и той же программы, записанный на разных языках программирования, в котором значения этих элементов сначала задаются, а потом изменяются: Бейсик Алгоритмический язык Си Паскаль Как изменятся элементы этого массива после выполнения данного фрагмента программы? 1) Все элементы массива окажутся равными 2, кроме элемента с нулевым индексом 2) Все элементы массива станут меньше на 1 и сдвинуться на 1 влево, кроме первого 3) Все элементы массива станут равными 0 4) Все элементы массива окажутся равными своему индексу А13. Система команд исполнителя РОБОТ, «живущего» в прямоугольном лабиринте на клетчатой плоскости, ограниченной со всех сторон стенами: вверх вниз влево вправо При выполнении любой из этих команд РОБОТ перемещается на одну клетку вверх ↑, вниз ↓, влево ←, вправо → соответственно. Четыре команды проверяют истинность условия отсутствия стены у каждой стороны той клетки, где находится РОБОТ. сверху свободно снизу свободно слева свободно справа свободно Цикл ПОКА <условие> команда выполняется, пока условие истинно, иначе происходит переход на следующую строку. Если РОБОТ начнёт движение в сторону стены, то он разрушится и выполнение программы прервётся. Сколько клеток приведённого лабиринта (см. рис. 44) соответствуют требованию: выполнив предложенную ниже программу, РОБОТ уцелеет и остановится в той же клетке, с которой он начал движение? Рис. 44. НАЧАЛО ПОКА <сверху свободно> вправо ПОКА <справа свободно вниз ПОКА <снизу свободно влево ПОКА <слева свободно вверх КОНЕЦ 1) . 2) . 3) . 4) 4 Часть 2 В1. Автоматическое устройство осуществило перекодировку информационного сообщения на русском языке, записанного в 8-битном коде КОИ-8, длиной в 20 символов в 16-битную кодировку Unicode. На сколько байт при этом увеличился информационный объём сообщения? В2. У исполнителя Вычислитель есть две команды, которым присвоены номера: 1) прибавь 5 2) раздели на 2 Первая из них увеличивает число на экране на 5, вторая — делит его на 2. Запишите порядок команд в программе получения из 7 числа 8, содержащей не более 4-х команд, указывая лишь номера команд. Например, последовательность цифр 12112 соответствует программе, состоящей из команд Вычислителя, записанных в следующем порядке: прибавь 5 раздели на 2 прибавь 5 прибавь 5 раздели на 2 Последовательность этих команд преобразует число 11 в число 9. В3. Определите, что будет напечатано в результате работы следующего фрагмента программы: Бейсик Алгоритмический язык Паскаль Си В4. Строки (цепочки символов латинских букв) создаются по следующему правилу. Первая строка состоит из одного символа — латинской буквы «Л». Каждая из последующих цепочек создаётся такими действиями: в очередную строку сначала записывается предыдущая строка, затем приписывается буква, чей порядковый номер в алфавите соответствует номеру строки (на i-м шаге пишется i-я буква алфавита), после чего ещё раз записывается предыдущая строка. Вот первые 4 строки, созданные по этому правилу: 1. А 2. АВА 3. АВАСАВА 4. ABACABADABACABA Латинский алфавит (для справки): ABCDEFGHIJKLMNOPQRSTUVWXYZ Запишите 5 символов подряд, стоящие в девятой строке с 255-го по 259-й символ включительно (считая слева направо). В5. Дан фрагмент электронной таблицы: А В С D 1 3 1 6 2 =MAKC(A1:D1) =C1+D1-A2 =А1+В1 =CP3HAЧ(A1:D1) Какое число должно быть записано в ячейке А1, чтобы построенная после выполнения вычислений диаграмма по значениям диапазона ячеек A2:D2 соответствовала рисунку 45? Рис. 45. В6. Определите значение переменной с после выполнения следующего фрагмента программы. Паскаль Си Бейсик Алгоритмический язык В7. Ниже на 4-х языках записан алгоритм. Получив на вход число х, этот алгоритм печатает два числа К и R. Укажите наименьшее из таких чисел х, при вводе которых алгоритм печатает сначала 4, а потом 3. Алгоритмический язык Си Бейсик Паскаль В8. Укажите основание системы счисления р, в которой число 46110 записывается как 325р. В9. На рисунке 46 изображена схема дорог, связывающих города А, В, С, D, Е, F и G. По каждой дороге можно двигаться только в одном направлении, указанном стрелкой. Сколько существует различных путей из города А в город G? Рис. 46. В10. ADSL-модем, совмещённый с точкой доступа, передаёт данные со средней скоростью 280 Кбит/с. Определите, сколько секунд займёт передача текстового сообщения, содержащего 7168 символов, через это соединение, если известно, что текст представлен в кодировке Unicode. В11. Составьте допустимый IP-адрес по следующим фрагментам: A Б В Г Д E Ж 43.23 197.2 415 29 6 12 1.58 В ответе укажите последовательность букв, обозначающих фрагменты, в порядке, соответствующем IР-адресу. (Буквы не должны повторяться.) В12. На языке запросов поискового сервера для обозначения логической операции «ИЛИ» используется символ |, а для логической операции «И» — символ &. Поисковый сервер в автоматическом режиме составил таблицу ключевых слов для сайтов некоторого сегмента сети. Вот её фрагмент: Ключевое слово Количество страниц, для которых данное слово является ключевым Грибы 270 Рыжики 560 Фото 420 Сколько страниц будет найдено по запросу Грибы & Рыжики, если по запросу Рыжики | Фото было найдено 980 страниц, по запросу Грибы & Фото — 60 страниц, а по запросу (Рыжики | Фото) & Грибы — 140 страниц? В13. Исполнитель Калькулятор имеет только две команды, которым присвоены номера: 1. Прибавь 1, 2. Вычти 4. Выполняя команду номер 1, Калькулятор увеличивает число на экране на 1, а выполняя команду номер 2, вычитает из числа на экране число 4 (отрицательные числа допускаются). Программа для Калькулятора — это последовательность команд. Сколько различных чисел можно получить из числа 1 с помощью программы, которая содержит ровно 4 команды? В14. Определите, какое число будет напечатано в результате выполнения следующего алгоритма (для Вашего удобства алгоритм представлен на четырёх языках): Бейсик Паскаль Алгоритмический язык Си В15. Сколько существует различных наборов значений логических переменных х1, х2,..., х9, х10, которые удовлетворяют всем перечисленным ниже условиям? В ответе не нужно перечислять все различные наборы значений х1, х2,..., х9, х10, при которых выполнена данная система равенств. В качестве ответа нужно указать количество таких наборов. Часть 3 С1. Требовалось написать программу, при выполнении которой с клавиатуры считываются координаты точки на плоскости (х, у — действительные числа) и проверяется принадлежность этой точки заштрихованной области, включая её границы (см. рис. 47). Рис. 47. Программист торопился и написал программу неправильно. Бейсик Паскаль Алгоритмический язык Си Последовательно выполните следующее. 1. Перерисуйте и заполните таблицу, которая показывает, как работает программа при аргументах, принадлежащих различным областям (А, В, С, D, Е, F, G, Н и I). Считать, что все области, кроме заштрихованных, не содержат точек своих границ (см. рис. 48). Рис. 48. В столбцах условий укажите «да», если условие выполнится, «нет», если условие не выполнится, «—» (прочерк), если условие не будет проверяться, «не изв.», если программа ведёт себя по-разному для разных значений, принадлежащих данной области. В столбце «Программа выведет» укажите, что программа выведет на экран. Если программа ничего не выводит, напишите «—» (прочерк). Если для разных значений, принадлежащих области, будут выведены разные тексты, напишите «не изв.». В последнем столбце укажите «да» или «нет». 2. Укажите, как нужно доработать программу, чтобы не было случаев её неправильной работы. (Это можно сделать несколькими способами, достаточно указать любой способ доработки исходной программы.) Область Усл. 1 у ≤ 2- |1 - х│ Усл. 2 у ≥ х - 1 Усл. 3 х ≥ 0 Усл. 4 у ≥ 0 Программа выведет Область обрабатывается верно А В С D Е F G Н I С2. Дан массив из 40 элементов. Каждый элемент может принимать целочисленные значения от 0 до 200. Опишите на русском языке или на одном из языков программирования алгоритм, который позволит определить, все ли элементы массива различны. Исходные данные объявлены так, как показано ниже. Запрещается использовать переменные, не описанные ниже, но разрешается не использовать часть из них. Паскаль Бейсик СИ Естественный язык Объявляем массив А из 40 элементов. Объявляем целочисленные переменные I, J. В цикле от 1 до 40 вводим элементы массива А с 1-го по 40-й.... В качестве ответа необходимо привести фрагмент программы (или описание алгоритма на естественном языке), который должен находиться на месте многоточия. Вы можете записать решение также на другом языке программирования (укажите название и используемую версию языка программирования, например, Borland Pascal 7.0) или в виде блок-схемы. В этом случае вы должны использовать переменные, аналогичные переменным, используемым в алгоритме, записанном на естественном языке, с учётом синтаксиса и особенностей используемого вами языка программирования. С3. У исполнителя Х135 три команды, которым присвоены номера: 1. прибавь 1, 2. прибавь 3, 3. умножь на 5. Первая из них увеличивает число на экране на 1, вторая — на 3, а третья — в 5 раз. Программа для исполнителя Х135 — это последовательность команд. Сколько есть программ, которые число 1 преобразуют в число 14? Ответ обоснуйте. С4. Завод по огранке драгоценных камней приобрёл сейф повышенной надёжности. Для определения драгоценных камней, которые необходимо положить в сейф, сначала отбираются 10% самых дорогих камней. Если у самого дешёвого камня из вошедших в группу 10% самых дорогих оказывается ценовая категория такая же, как и у нескольких других, то эти камни тоже включаются в группу камней для размещения в сейфе повышенной надёжности в том случае, если их ценовая категория не менее 25. Напишите эффективную по времени работы и по используемой памяти программу, которая по результатам входных данных будет определять, какую минимальную цену должен иметь драгоценный камень, чтобы его поместили в сейф повышенной надёжности. На вход программе сначала подаётся общее количество N камней на складе. В каждой из следующих N строк находится информация по каждому камню отдельно в следующем формате: <Название драгоценного камня> <Код> <Ценовая категория>, где <Название драгоценного камня> — строка, состоящая не более чем из 20 символов, <Код> — строка, состоящая не более чем из 15 символов, <Ценовая категория> — целое число от 1 до 30. <Название драгоценного камня>, <Код> и <Ценовая категория> разделены одним пробелом. Пример входной строки: Изумруд И5674 11. Программа должна выводить минимальную ценовую категорию драгоценного камня, который необходимо положить в сейф повышенной надёжности.
![]()
































