Геометрия 8 класс - Технологические карты уроков по учебнику Л. С. Атанасяна - 2015
ПЛОЩАДЬ ТРЕУГОЛЬНИКА - Урок 2 - ПЛОЩАДЬ
|
Цель деятельности учителя |
Создать условия для доказательства теоремы об отношении площадей треугольников, имеющих по равному углу |
|||||
|
Термины и понятия |
Площадь треугольника, равновеликие фигуры, отношение площадей |
|||||
|
Планируемые результаты |
||||||
|
Предметные умения |
Универсальные учебные действия |
|||||
|
Владеют базовым понятийным аппаратом; умеют работать с геометрическим текстом |
Познавательные: умеют устанавливать причинно-следственные связи, строить логическое рассуждение, умозаключение. Регулятивные: умеют адекватно оценивать правильность или ошибочность выполнения учебной задачи. Коммуникативные: умеют находить общее решение и разрешать конфликты на основе согласования позиций и учета интересов. Личностные: проявляют способность к эмоциональному восприятию математических объектов, задач, решений, рассуждений |
|||||
|
Организация пространства |
||||||
|
Формы работы |
Фронтальная (Ф); индивидуальная (И) |
|||||
|
Образовательные ресурсы |
• Учебник. • Задания для индивидуальной и фронтальной работы |
|||||
|
I этап. Проверка домашнего задания. Теоретический опрос |
||||||
|
Цель деятельности |
Деятельность учителя |
Деятельность учащихся |
||||
|
Проверить уровень усвоения формул для нахождения площади треугольника |
(Ф/И) - Сформулируйте и докажите теорему о площади треугольника. - Выведите формулу для вычисления площади прямоугольного треугольника. - Докажите, что если высоты двух треугольников равны, то их площади соотносятся как основания. (И) - Решите задачи с последующей самопроверкой. Найти: SАВС.
ABCD - квадрат, AB = 5 см, KD = 4 см. Найти: SABCK.
AB = 10. Найти: SBCA.
|
Ответ: 36 см2. Ответ: 15 см2. Ответ: 60 см2 |
||||
|
II этап. Мотивация к деятельности |
||||||
|
Цель деятельности |
Совместная деятельность |
|||||
|
Через решение задач подготовить учащихся к восприятию новой теоремы |
(Ф)
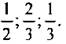
СМ - медиана ∆АВС, СК - медиана ∆ACM. Найти: SACM : SABC; SACM : SBCK; SACK : SBCK. Ответ:
M - середина АВ, К - середина CD. ABCD - выпуклый четырехугольник. Доказать: SMBKD = SABCD : 2. Доказательство: SADB : SMDB = 2 : 1; SDCB : SDKB = 2 : 1; SABCD = SADB + SDBC, SMDKB = SMDB + SDKB; SABCD : SMDKB = 2 : 1 |
|||||
|
III этап. Изучение новой темы |
||||||
|
Цель деятельности |
Совместная деятельность |
|||||
|
Доказать теорему об отношении площадей треугольников, имеющих по равному углу |
(Ф) Теорема. Если угол одного треугольника равен углу другого треугольника, то площади этих треугольников относятся как произведение сторон, заключающих равные углы. (Доказывает сам учитель.) |
|||||
|
IV этап. Закрепление изученного материала |
||||||
|
Цель деятельности |
Деятельность учителя |
Деятельность учащихся |
||||
|
На примерах отработать применение данной теоремы |
(Ф) 1. Дано: ∠А = ∠К, АС = 5 см, АВ = 3 см, KN = 7 см, КМ = 2 см. Найти: SABC : SKMN.
2. Дано: ОА = 8 см, ОБ = 6 см, ОС = 5 см, OD = 2 см, SAOB = 20 см2. Найти: SCOD.
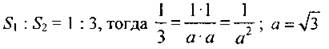
(И) Решить самостоятельно задачу. Площадь одного равностороннего треугольника в 3 раза больше, чем площадь другого равностороннего треугольника. Найдите сторону второго треугольника, если сторона первого равна 1. Решить самостоятельно задачу № 479 (б) |
1. Решение:
2. Решение:
Проверка:
|
||||
|
Самостоятельная работа обучающего характера |
||||||
|
Цель деятельности |
Задания для самостоятельной работы |
|||||
|
Проверить уровень понимания доказанной теоремы |
(И) Вариант I 1. Две стороны треугольника равны 12 см и 9 см, а угол между ними 30°. Найдите площадь треугольника. 2.
Дано: АО = 4; ВО = 9; СО = 5; DO = 8. SAOC = 15. Найти: SBOD. Вариант II 1. Найдите площадь треугольника, две стороны которого равны 6 см и 8 см, а угол между ними 30°. 2.
Дано: АО = 10; СО = 12; DO = 6; ВО = 8, SBOD = 14. Найти: SAOC. |
|||||
|
V этап. Итоги урока. Рефлексия |
||||||
|
Деятельность учителя |
Деятельность учащихся |
|||||
|
(Ф/И) - Продолжите фразы: • Сегодня на уроке я узнал... • Мне было труднее всего... • Самым полезным для меня было... |
(И) Домашнее задание: решить задачи № 479 (а), 476 (а), 477 |
|||||









