Геометрия 8 класс - Технологические карты уроков по учебнику Л. С. Атанасяна - 2015
ВТОРОЙ И ТРЕТИЙ ПРИЗНАКИ ПОДОБИЯ ТРЕУГОЛЬНИКОВ - ПОДОБНЫЕ ТРЕУГОЛЬНИКИ
|
Цель деятельности учителя |
Создать условия для доказательства второго и третьего признаков подобия треугольников |
|
|
Термины и понятия |
Пропорциональные отрезки, отношение, пропорции, сходственные стороны, коэффициент подобия |
|
|
Планируемые результаты |
||
|
Предметные умения |
Универсальные учебные действия |
|
|
Умеют демонстрировать знание основных понятий, применять полученные знания для решения основных и качественных задач, контролировать процесс и результат учебной математической деятельности |
Познавательные: осуществляют поиск необходимой информации для выполнения учебных заданий с использованием учебной литературы. Регулятивные: умеют адекватно оценивать правильность или ошибочность выполнения учебной задачи, ее объективную трудность и собственные возможности ее решения, контролируют действие партнера, осуществляют самоанализ и самоконтроль. Коммуникативные: умеют вступать в речевое общение, участвовать в диалоге. Личностные: проявляют познавательный интерес к изучению предмета |
|
|
Организация пространства |
||
|
Формы работы |
Фронтальная (Ф); индивидуальная (И) |
|
|
Образовательные ресурсы |
• Учебник. • Задания для индивидуальной работы |
|
|
I этап. Актуализация знаний учащихся |
||
|
Цель деятельности |
Задания для самостоятельной работы |
|
|
Проверить степень усвоения первого признака подобия треугольников |
(Ф/И) 1. Проверка домашнего задания. 2. Самостоятельная работа с взаимопроверкой. (Решение дано на закрытой доске.) Вариант I
Дано: ВС = 12 см, СМ = 6 см, CN = 4 см. Найти: АС. ∆ACB ~ ∆NCM (∠C - общий, ∠N = ∠A). АС : NC = ВС : СМ; АС = 8 (см). Ответ: AС = 8 см Вариант II
Дано: ВС = 12 см, АЕ = 10 см, EF = 6 см. Найти: АВ. ∆ACB ~ ∆AFE (∠A = общий, ∠F = ∠C). АВ : АЕ = ВС : FE; АВ = 20 (см). Ответ: АВ = 20 см |
|
|
II этап. Изучение нового материала |
||
|
Цель деятельности |
Совместная деятельность |
|
|
Доказать второй и третий признаки подобия треугольников |
(Ф) Второй признак подобия треугольников. Теорема. Если две стороны одного треугольника пропорциональны двум сторонам другого треугольника и углы, заключенные между этими сторонами, равны, то такие треугольники подобны. Учащиеся записывают в тетрадях план-конспект доказательства теоремы. Третий признак подобия треугольников. Теорема. Если три стороны одного треугольника пропорциональны трем сторонам другого треугольника, то такие треугольники подобны. Учащиеся записывают в тетрадях план-конспект доказательства теоремы |
|
|
III этап. Закрепление изученного материала |
||
|
Цель деятельности |
Деятельность учителя |
Деятельность учащихся |
|
Отработать применение изученных признаков при решении простых задач |
(Ф/И) Решение задач на доске и в тетради. Докажите, что два прямоугольных треугольника подобны, если катеты одного из них пропорциональны катетам другого.
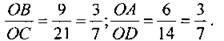
ОА = 6 см, АС = 15 см, ОВ = 9 см, BD = 5 см, АВ = 12 см. Найдите CD.
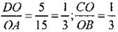
Дано: ОА = 15 см; OD = 5 см; СО : ОВ = 1 : 3; AB + CD = 24 см. Найдите АВ и CD |
|
|
Решение: 1) OD = ОВ + BD = 9 + 5 = 14 (см). ОС = ОА + АС = 6 + 15 = 21 (см). 2) Угол О общий для треугольников ВОА и COD. 3) ∆BOA ~ ∆COD по II признаку подобия треугольников. 4) Ответ: 28 см. Решение: 1) В треугольниках DOC и АОВ угол О – общий и 2) Пусть DC = х, тогда АВ = 24 - х. 3) Ответ: 18 см и 6 см |
||
|
IV этап. Итоги урока. Рефлексия |
||
|
Деятельность учителя |
Деятельность учащихся |
|
|
(Ф/И) -Сформулируйте признаки подобия треугольников. - Составьте список вопросов, на которые мы будем отвечать на следующем уроке. Как вы думаете, зачем его составлять? |
(И) Домашнее задание: п. 62, 63, вопросы 6, 7; решить задачи № 559, 560, 561. Творческое задание: увеличить или уменьшить картинку |
|



