Геометрия 8 класс - Технологические карты уроков по учебнику Л. С. Атанасяна - 2015
РЕШЕНИЕ ЗАДАЧ НА ПРИМЕНЕНИЕ ПРИЗНАКОВ ПОДОБИЯ ТРЕУГОЛЬНИКОВ - Урок 2 - ПОДОБНЫЕ ТРЕУГОЛЬНИКИ
|
Цель деятельности учителя |
Создать условия для совершенствования навыков решения задач на применение признаков подобия треугольников для подготовки учащихся к контрольной работе |
||||
|
Термины и понятия |
Пропорциональные отрезки, отношение, пропорции, сходственные стороны, коэффициент подобия |
||||
|
Планируемые результаты |
|||||
|
Предметные умения |
Универсальные учебные действия |
||||
|
Умеют демонстрировать знание основных понятий, применять полученные знания для решения основных и качественных задач, контролировать процесс и результат учебной математической деятельности |
Познавательные: осуществляют поиск необходимой информации для выполнения учебных заданий с использованием учебной литературы. Регулятивные: умеют адекватно оценивать правильность или ошибочность выполнения учебной задачи, ее объективную трудность и собственные возможности ее решения, контролировать действие партнера, работать в группе, осуществлять самоанализ и самоконтроль. Коммуникативные: вступают в речевое общение, участвуют в диалоге. Личностные: проявляют познавательный интерес к изучению предмета |
||||
|
Организация пространства |
|||||
|
Формы работы |
Фронтальная (Ф); индивидуальная (И); групповая (Г) |
||||
|
Образовательные ресурсы |
• Учебник. • Задания для групповой и индивидуальной работы |
||||
|
I этап. Проверка домашнего задания |
|||||
|
Цель деятельности |
Совместная деятельность |
||||
|
Проверить уровень усвоения признаков подобия треугольников |
(Ф/И) 1. Ответить на вопросы учащихся. 2. Проверить выполнение домашнего задания. № 562.
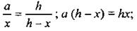
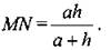
Дано: ∆АВС, АВ = а, СН ⊥ АВ, СН = h, MNKE - квадрат. Найти: MN. Решение: Рассмотрим ∆АВС и ∆KNC. ∠B = ∠N (как соответственные при АВ || NK и секущей ВС), ∠C — общий, следовательно, ∆ABC ~ ∆KNC (по двум углам), следовательно, Примем MN = NK = КЕ = ME = х, следовательно, CQ = h - х. Подставим значения в (*), получим: Ответ: № 563.
Дано: ∆ABC, AD - медиана, M є AD, BM ∩ AC = K. Найти: Решение: а) Если M - середина AD (дополнительное построение ND || КВ): 1) Рассмотрим ∆АКМ и ∆AND; ∠A - общий, ∠K = ∠N (как соответственные при КВ || AD и секущей AN), следовательно, ∆АКМ ~ ∆AND (по двум углам), следовательно, 2) Рассмотрим ∆CND и ∆СКВ; ∠C - общий, ∠D = ∠B (как соответственные при ND || КВ и секущей DB), следовательно, ∆CND ~ ∆СКВ (по двум углам), следовательно, 3)
б) Если 1) ∆АКМ ~ ∆AND (по двум углам), следовательно, 2) ∆NCD ~ ∆СКВ (по двум углам), следовательно, 3) |
||||
|
II этап. Решение задач |
|||||
|
Цель деятельности |
Деятельность учителя |
Деятельность учащихся |
|||
|
Совершенствовать навыки решения задач на применение признаков подобия треугольников; подготовить учащихся к контрольной работе |
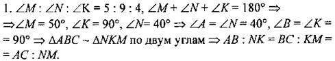
(Г) Класс делится на группы по 3—4 человека. Учитель при необходимости оказывает консультативную помощь. Задачи: 1. В прямоугольном треугольнике ABC ∠A = 40°, ∠B = 90°, а в треугольнике MNK углы М, N, К относятся как 5:9:4. АВ = 3 см, KN = 9 см. Найти: а) ВС : КМ; б) SABC ∙ SMNK; в) РABC : РMNK.
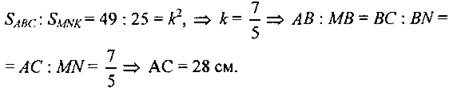
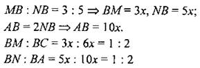
Дано: MN ll AC, SABC : SBMN = 49 : 25, MN = 20 см. Найти: АС. 3. В параллелограмме ABCD АЕ - биссектриса угла А. Стороны параллелограмма АВ и ВС относятся как 4 : 9. АЕ пересекает диагональ BD в точке К. Найти отношение ВК : KD. 4. В трапеции ABCD основания ВС и AD равны 2 см и 8 см, а диагональ АС равна 4 см. В каком отношении делит диагональ АС площадь трапеции? 5. Прямая MN пересекает стороны АВ и ВС треугольника АВС в точках Ми N соответственно так, что ВС = 2МВ, АВ = 2NB, МВ : NB = 3 : 5. Найти: а) РABC : РNBM, б) SABC : SNBM, в) MN : АС |
Краткое решение задач:
а) Так как АВ : NK = 3 : 9 = 1 : 3, то ВС : КМ = 1 : 3.
Ответ: а) 1 : 3; б) 1 : 9; в) 1 : 3. 2. ∆АВС ~ ∆BMN по двум углам (∠B - общий, ∠BAC =∠BMN).
Ответ: 28 см.
Биссектриса ∠A параллелограмма ABCD отсекает от него равнобедренный треугольник АВЕ, следовательно, АВ =BE. Так как АВ : ВС = 4 : 9, то BE : ВС = 4 : 9. BE : AD = 4 : 9 (ВС = AD, как противолежащие стороны параллелограмма). ∆AKD ~ ∆EKB по двум углам (∠BKE = ∠AKD, ∠BEK =∠KAD), тогда ВК : KD = BE : AD = 4 : 9. Ответ: 4 : 9.
∆АВС ~ ∆DCA по двум пропорциональным сторонам и углу между ними (ВС : АС = АС : AD = 1 : 2; ∠1 = ∠2),отсюда Ответ: 1 : 4.
∠MBN = ∠CBA, таким образом, ∆ABC ~ ∆NBM.
Отвeт: a) 1 : 2: 6) 4 : 1: в) 1 : 2 |
|||
|
III этап. Итоги урока. Рефлексия |
|||||
|
Деятельность учителя |
Деятельность учащихся |
||||
|
(Ф/И) - Оцените свою работу и работу группы. - Какая задача оказалась для вас трудной и почему? |
(И) Домашнее задание: решить задачи. 1. Высота CD прямоугольного треугольника АВС делит гипотенузу АВ на части AD = 16 см иBD = 9 см. Докажите, что ∆ACD ~ ∆CBD, и найдите высоту CD. 2. Точки М и N лежат на сторонах АС и ВС треугольника АВС соответственно, АС = 16 см, ВС = 12 см, СМ = 12 см, CN = 9 см. Докажите, что MN ll BC |
||||










