Геометрия 8 класс - Технологические карты уроков по учебнику Л. С. Атанасяна - 2015
СРЕДНЯЯ ЛИНИЯ ТРЕУГОЛЬНИКА - ПОДОБНЫЕ ТРЕУГОЛЬНИКИ
|
Цель деятельности учителя |
Создать условия для доказательства теоремы о средней линии треугольника и свойства медиан треугольника; для применения этих свойств в процессе решения задач |
||||
|
Термины и понятия |
Пропорциональные отрезки, отношение, пропорции, сходственные стороны, коэффициент подобия, средняя линия треугольника |
||||
|
Планируемые результаты |
|||||
|
Предметные умения |
Универсальные учебные действия |
||||
|
Владеют базовым понятийным аппаратом по основным разделам содержания |
Познавательные: понимают и используют математические средства наглядности для иллюстрации, интерпретации, аргументации; устанавливают причинно-следственные связи, строят логическое рассуждение, делают умозаключения и выводы. Регулятивные: принимают и сохраняют цели и задачи учебной деятельности. Коммуникативные: учитывают разные мнения и стремятся к координации различных позиций в сотрудничестве; умеют ясно, точно, грамотно излагать свои мысли в устной и письменной речи. Личностные: проявляют познавательные интерес к изучению предмета |
||||
|
Организация пространства |
|||||
|
Формы работы |
Фронтальная (Ф); индивидуальная (И); групповая (Г) |
||||
|
Образовательные ресурсы |
• Учебник. • Задания для индивидуальной и групповой работы |
||||
|
I этап. Активизация знаний учащихся |
|||||
|
Цель деятельности |
Совместная деятельность |
||||
|
Выявить трудности, возникшие при решении задач в контрольной работе |
(Ф/И) 1. Сообщить результаты выполненной работы. 2. Обсудить решения задач, с которыми не справились большинство учащихся. 3. Предложить выполнить работу над ошибками самостоятельно дома |
||||
|
II этап. Мотивация к деятельности |
|||||
|
Цель деятельности |
Постановка учебной задачи |
||||
|
Подготовить учащихся к введению понятия средняя линия треугольника |
(Ф/И) Повторить теоретический материал в процессе решения задач по готовым чертежам.
CD = 4, AD = 8, СЕ = 5, BE = 10. Доказать: a) ∆CDE ~ ∆САВ; б) AB || DE
ABCD - трапеция. Доказать: а) ВО : OD = СО : ОА; б) DO : ВО = 2, если ВС = AD/2 |
||||
|
III этап. Учебно-познавательная деятельность |
|||||
|
Изучение нового материала |
|||||
|
Цель деятельности |
Совместная деятельность |
||||
|
Ввести понятие средней линии трапеции и доказать теорему о средней линии трапеции |
(Ф/И) 1. Определение средней линии треугольника. Определение. Отрезок, соединяющий середины двух сторон треугольника, называется средней линией треугольника. На доске и в тетрадях Picture из учебника на с. 145 и запись: “Если AM = МВ и CN = NB, то MN - средняя линия ∆АВС”. (Г) 2. Творческое задание. Работа осуществляется в группах с последующим обсуждением решения. - Исследуйте, какими свойствами обладает средняя линия треугольника. 3. Оформление теоремы о средней линии треугольника с доказательством на доске и в тетрадях. 4. Решение задач № 564, 565 (устно, рисунки на доске выполнены заранее). № 564.
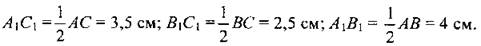
Дано: ∆АВС, АВ = 8 см, ВС = 5 см, АС = 7 см; А1 є ВС, В1є АС, С1 є АВ; А1, В1, С1 — середины сторон ∆АВС. Найти РAB1C1. Решение: 1) А1В1, B1C1, A1C1 - средние линии ∆АВС, значит, 2) № 565.
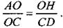
Дано: ABCD - прямоугольник, АС ∩ BD = О, ОН ⊥ AD, ОН = 2,5 см. Найти: АВ. Решение: 1) Рассмотрим ∆АОН и ∆ACD: ∠A - общий, ∠H = ∠D = 90°, следовательно, ∆АОН ~ ∆ACD, следовательно, (Г) 5. Творческое задание. Задача № 1, с. 146 (учащиеся работают в группах по 3-4 человека). Доказать, что медианы треугольника пересекаются в одной точке, которая делит каждую медиану в отношении 2:1, считая от вершины. 6. Решение задачи с целью закрепления свойства медиан треугольника (устно).
В треугольнике АВС медианы АА1, ВВ1 и СС1, равные соответственно 6 см, 9 см и 12 см, пересекаются в точке О. Найти: АО + ОВ + СО |
||||
|
IV этап. Решение задач |
|||||
|
Цель деятельности |
Деятельность учителя |
Деятельность учащихся |
|||
|
Совершенствовать навыки решения задач на применение знаний о подобных треугольниках |
(Ф/И) Решить на доске и в тетради № 567 и 570 |
№ 567.
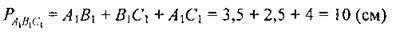
Дано: ABCD - четырехугольник, M, N, K, E -середины сторон. Доказать: MNKE - параллелограмм. Доказательство: 1) Рассмотрим ∆АВС и ∆MBN: ∠B - общий, 2) Рассмотрим ∆АВС. КЕ - средняя линия ∆ADC(по определению), значит, КЕ = 1/2АО и КЕ || АС. 3) Вывод: MN = КЕ = 1/2АС. КЕ || MN || АС => MNKE - параллелограмм по признаку, что и требовалось доказать. № 570.
Дано: ABCD - параллелограмм, АС = 18 см, Mє AB, AM = MB, MD ∩ AC = О. Найти: АО, ОС. Решение: 1) Рассмотрим ∆ABD. DM, АЕ - медианы и АЕ ∩DM = О, по свойству медиан АО : ОЕ = 2 : 1. 2) Так как (свойство диагонали параллелограмма) АЕ = 9 см, тогда АО = 6 см, ОЕ = 3 см, отсюда ОС = ОЕ + ЕС = 3 + 9 = 12 см. Ответ: 6 см, 12 см. |
|||
|
V этап. Итоги урока. Рефлексия |
|||||
|
Деятельность учителя |
Деятельность учащихся |
||||
|
(Ф/И) - Составьте синквейн к уроку. - Оцените свою работу |
(И) Домашнее задание: вопросы 8, 9, с. 159; № 565, 566, 571 |
||||






