Геометрия 8 класс - Технологические карты уроков по учебнику Л. С. Атанасяна - 2015
ЗАДАЧИ НА ПОСТРОЕНИЕ МЕТОДОМ ПОДОБИЯ - Урок 2 - ПОДОБНЫЕ ТРЕУГОЛЬНИКИ
|
Цель деятельности учителя |
Создать условия для применения подобия треугольников в задачах на построение |
||
|
Термины и понятия |
Пропорциональные отрезки, отношение, пропорции, среднее пропорциональное |
||
|
Планируемые результаты |
|||
|
Предметные умения |
Универсальные учебные действия |
||
|
Владеют навыками устных, письменных, инструментальных вычислений, построений |
Познавательные: умеют видеть математическую задачу в контексте проблемной ситуации в других дисциплинах, в окружающей жизни. Регулятивные: умеют адекватно оценивать правильность или ошибочность решения учебной задачи. Коммуникативные: учитывают разные мнения и стремятся к координации различных позиций в сотрудничестве. Личностные: проявляют креативность мышления, инициативность, находчивость, активность при решении геометрических задач |
||
|
Организация пространства |
|||
|
Формы работы |
Фронтальная (Ф); индивидуальная (И); групповая (Г) |
||
|
Образовательные ресурсы |
• Учебник. • Задания для групповой и индивидуальной работы |
||
|
I этап. Активизация знаний учащихся |
|||
|
Цель деятельности |
Совместная деятельность |
||
|
Выявить трудности в выполнении домашнего задания |
(Ф/И) 1. Проверка домашнего задания. № 588. Дано: ∠А = α, АМ = а (медиана), АВ : АС = 2 : 3 (рис. 1а). Построить: ∆АВС. Построение:
Построение (рис 16): 1) ∠A = α. 2) Построить на сторонах ∠A отрезки АВ1 и АС1 так, что АВ1 : АС1 = 2 : 3 (АВ1 = 2 см, АС1 = 3 см). 3) Отметить середину В1С1 - точку К. АК - медиана ∆АВ1С1. 4) На луче АК отложить отрезок AM, равный α. 5) Через точку А провести прямую ВС || В1С1. ∆АВС - искомый |
||
|
II этап. Решение задач |
|||
|
Цель деятельности |
Совместная деятельность |
||
|
Совершенствовать навыки решения задач методом подобия |
(Г) Каждую из задач учащиеся решают самостоятельно в группах, а затем идет обсуждение решения, выбор наиболее рационального способа. 1. Построить треугольник АВС по углу А, отношению сторон АВ : АС = 2 : 1 и расстоянию от точки пересечения медиан до вершины С. Дано: ∠A = α, О - точка пересечения медиан ААВС, ОС = т, АВ : АС = 2 : 1. Построить: ∆АВС. Построение: а) Построить угол А, равный α. б) На сторонах угла А отложить отрезки АС1 и АВ1 так, что АВ1 : АС1 = 2 : 1. в) Построить точку пересечения медиан треугольника АВ1С1 - точку O1. г) На луче O1С1 отложить отрезок O1Е, равный m. д) Построить прямую ЕС, параллельную медиане АМ1 треугольника АВ1С1, С = ЕС ∩ АС1. е) Через точку С провести прямую СВ, параллельную С1В1, СВ ∩ АВ1 = В. Треугольник АВС - искомый.
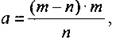
2. Построить отрезок
В прямоугольном ∆АВС BD - высота, проведенная из вершины прямого угла, поэтому Построение: а) Построить ∆ABD, в котором ∠D = 90°, BD = m, AD = n. б) Провести прямую ВС так, что ВС ⊥ AD = С. в) На луче СА отложить отрезок СК, равный m. г) DК - искомый отрезок. Задача не имеет решения, если m < n
|
||
|
III этап. Самостоятельная работа |
|||
|
Цель деятельности |
Задания для самостоятельной работы |
||
|
Совершенствовать навыки решения задач методом подобия |
(И) Вариант I Постройте прямоугольный треугольник по острому углу и медиане, проведенной из вершины этого угла. Вариант II Постройте прямоугольный треугольник по острому углу и биссектрисе прямого угла |
||
|
IV этап. Итоги урока. Рефлексия |
|||
|
Деятельность учителя |
Деятельность учащихся |
||
|
(Ф/И) - Оцените свою работу на уроке. - Какой этап урока был наиболее сложным? |
(И) Домашнее задание: решить № 629 |
||


