Геометрия 8 класс - Технологические карты уроков по учебнику Л. С. Атанасяна - 2015
ТЕОРЕМА О ВПИСАННОМ УГЛЕ - ОКРУЖНОСТЬ
|
Цель деятельности учителя |
Создать условия для введения понятия вписанного угла и рассмотрения теоремы о вписанном угле |
||||
|
Термины и понятия |
Окружность, хорда, радиус, диаметр, дуга; хорда, стягивающая дугу окружности; вписанный угол |
||||
|
Планируемые результаты |
|||||
|
Предметные умения |
Универсальные учебные действия |
||||
|
Владеют базовым понятийным аппаратом по основным разделам содержания |
Познавательные: умеют создавать, применять и преобразовывать знаково-символические средства, модели и схемы для решения учебных задач. Регулятивные: умеют самостоятельно ставить цели, выбирать и создавать алгоритмы для решения учебных математических задач. Коммуникативные: умеют организовывать учебное сотрудничество и совместную деятельность с учителем и сверстниками, работать в группах. Личностные: проявляют способность к эмоциональному восприятию математических объектов, задач, решений, рассуждений |
||||
|
Организация пространства |
|||||
|
Формы работы |
Фронтальная (Ф); парная (П); индивидуальная (И); групповая (Г) |
||||
|
Образовательные ресурсы |
• Учебник. • Задания для индивидуальной работы |
||||
|
I этап. Актуализация опорных знаний учащихся |
|||||
|
Цель деятельности |
Совместная деятельность |
||||
|
На простых задачах проверить уровень усвоения теоретического материала |
(Ф/И) 1. Повторение теоретического материала в процессе решения задач на готовых чертежах (устно).
1) Дано: ∪МКЕ в два раза меньше ∪MNE. Найти: ∪МКЕ, ∪MNE. Ответ: ∪MKE = 120°, ∪MNE = 240°.
Дано: ∪AKE на 140° меньше ∪APE. Найти: ∪APE. Ответ: ∪АРЕ = 250°.
Дано: ∪AB : ∪BC : ∪AC = 2 : 3 : 4. Найти: ∠AOB, ∠BOC, ∠AOC. Ответ: ∠AOB = 80°, ∠BOC = 120°, ∠AOC = 160°.
Дано: ∠MON : ∠NOK : ∠MOE = 3 : 4 : 5. Найти: ∪ME, ∪NK, ∪KE. Ответ: ∪ME = 120°, ∪NK = 96°, ∪KE = 72°. 2. Проверить домашнюю задачу № 652. Дано: АС = 37°, BD = 23°, R = 15 см. Найти: CD.
Решение: 1) CD = 180° - (АС + DB); CD = 180° - 60° = 120°. 2) В ∆COD: ∠O = 120°, OC = OD = 15 см. ОЕ ⊥ CD, CD = 2 ∙ ED = 15√3 (см) |
||||
|
II этап. Учебно-познавательная деятельность |
|||||
|
Цель деятельности |
Задания для самостоятельной работы |
||||
|
Подготовить учащихся к восприятию нового материала |
(Ф/И). Решение задач на готовых чертежах (самостоятельно с последующим обсуждением).
Найти: ∪AC. Ответ: ∪AC = 60°.
Найти: ∠АВС. Ответ: ∠АВС = 45° |
||||
|
III этап. Изучение нового материала |
|||||
|
Цель деятельности |
Совместная деятельность |
||||
|
Ввести понятие вписанного угла и доказать сопутствующую теорему |
1. Ввести понятие о вписанном угле. Закрепить понятие путем выполнения задания: какие углы являются вписанными на рисунках?
2. Доказать теорему о вписанном угле. а) Случай, когда луч ВО совпадает с одной из сторон утп&АВС, учитель доказывает сам в ходе беседы с учащимися. б) Случаи, когда луч ВО делит угол АВС на два угла и когда луч ВО не делит угол АВС на два угла и не совпадает со стороной этого угла, учащимся предлагается доказать самостоятельно по вариантам с последующим обсуждением доказательств. Теорема. Вписанный угол измеряется половиной дуги, на которую он опирается |
||||
|
IV этап. Закрепление изученного материала |
|||||
|
Цель деятельности |
Деятельность учителя |
Деятельность учащихся |
|||
|
Показать применение теоремы о вписанном угле и следствий при решении задач |
(Ф/И) Задачи можно решать у доски. Выполнить № 653 (устно), 654 (устно), 655, 656, 658, 659 (устно), 661 |
№ 656.
Дано: АВ = 115°, AС = 43°. Найти: ∠BAC. Решение:
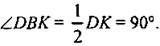
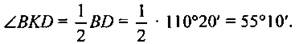
Ответ: 101° или 36°. № 658.
Дано: АВ - касательная, AD - секущая, D є Окр (О; R), BD =110°20’ Найти: ∠BAD, ∠DAB. Решение: 1) ∠BKD - вписанный, значит, 2) ∆DBK - прямоугольный, так как 3) ∆BOD - равнобедренный, так как OB = OD = R. Значит, ∠DBO= ∠BDO = 34°50’, отсюда ∠DBA = ∠DBO + ∠ОBА = 34°50' + 90° = 124°50’. 4) ∠BAD = 180° - (124°50' + 34°50') = 179°60' - 159°40' = 20°20’. Ответ: 20°20' и 34°50' |
|||
|
V этап. Итоги урока. Рефлексия |
|||||
|
Деятельность учителя |
Деятельность учащихся |
||||
|
(Ф/И). - Сформулируйте 3 вопроса по теме. Для того чтобы закончить урок на положительной ноте, можно воспользоваться одним из вариантов упражнения “Комплимент” (“Комплимент-похвала”, “Комплимент деловым качествам”, “Комплимент в чувствах”), в котором учащиеся оценивают вклад друг друга в урок и благодарят друг друга и учителя за проведенное занятие. Такой вариант окончания урока дает возможность удовлетворения потребности каждого в признании личностной значимости |
(И) Домашнее задание: вопросы 11, 12, 13, с. 184; № 657, 660, 663; повторить 1 признак подобия треугольников; № 662, 664 (по желанию) |
||||












