Алгебра поурочные планы 8 класс - по учебнику Ю. Н. Макарычева
ВЫЧИСЛЕНИЕ ЗНАЧЕНИЙ ВЫРАЖЕНИЙ, СОДЕРЖАЩИХ КВАДРАТНЫЕ КОРНИ - КВАДРАТНЫЕ КОРНИ
Цель: продолжить формирование умений преобразовывать выражения, содержащие квадратные корни.
Ход урока
I. Организационный момент.
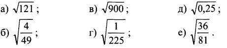
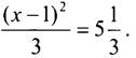
II. Устная работа.
1. Вычислите:

2. Решите уравнение:

III. Формирование умений и навыков.
• Все задания можно разбить на две группы:
1-я группа. Задания на нахождение допустимых значений переменных, входящих в выражения с квадратным корнем: № 325, 326.
- Укажите несколько значений переменной x, при которых выражение
имеет смысл.
2-я группа. Задания на вычисление значений выражений, содержащих квадратные корни: № 328.
- Найдите значение выражения:

• Дополнительные задания: № 330, № 332, 331 (а, в). №331.

• Задания на карточках для сильных учащихся.
Карточка 1
1. Решите уравнение: ![]()
2. Из формулы
выразить t.
3. При каких значениях переменной х имеет смысл выражение:
![]()
Карточка 2
1. Решите уравнение: ![]()
2. Из формулы
выразите l.
3. При каких значениях переменной х имеет смысл выражение:
![]()
IV. Проверочная работа.
Вариант 1
1. Решите уравнение:

2. Имеет ли смысл выражение
при:
![]()
3. Найдите значение выражения:

Вариант 2
1. Решите уравнение:

2. Имеет ли смысл выражение
при

3. Найдите значение выражения:

V. Итоги урока.
- Сколько корней может иметь уравнение х2 = а? От чего это зависит?
- Какие корни имеет уравнение х2 = а, если а > 0; а = 0?
- При каких значениях а выражение √а имеет смысл?
- При каких значениях b выражение √-b имеет смысл?
Домашнее задание: № 327, 329, 331 (б, г), 332.