Алгебра поурочные планы 8 класс - по учебнику Ю. Н. Макарычева
КВАДРАТНЫЙ КОРЕНЬ ИЗ ПРОИЗВЕДЕНИЯ И ДРОБИ ПРИ ПРЕОБРАЗОВАНИИ ВЫРАЖЕНИЙ С КОРНЕМ - КВАДРАТНЫЕ КОРНИ
Цель: продолжить формирование умения применять свойства квадратного корня при преобразовании выражений.
Ход урока
I. Организационный момент.
II. Устная работа.

III. Формирование умений и навыков.
• Выполнение заданий № 372, 387 (а, в, д, ж), 374, 376, 380.
№ 374.
Это задание может вызвать затруднения у учащихся. Раньше им встречались выражения вида √аb, в которых √а и √b извлекались. При выполнении предложенного задания это свойство корней напрямую применять нецелесообразно.
Необходимо подкоренное выражение представить в виде произведения таких множителей, из которых корень извлекается.

№ 376.
Учащиеся довольно часто допускают следующую ошибку:
![]()
В этом случае следует предложить им вычислить значение подкоренного выражения, извлечь корень и сравнить полученные результаты.
Данный пример помогает избежать подобных ошибок в дальнейшем и еще раз заостряет внимание учащихся на свойствах квадратных корней.
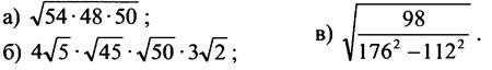
Если в примерах а) и б) учащиеся просто могут вычислить значение подкоренного выражения и извлечь корень, то в следующих примерах это можно сделать только при помощи калькулятора. Чтобы учащиеся “увидели” формулу разности квадратов, нужно требовать вычислений без калькулятора.
![]()

№ 380.
![]()
Преобразуем выражение, стоящее в правой части равенства:

• Задания на карточках для сильных учащихся.
Карточка 1
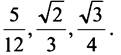
1. Расположите в порядке возрастания числа: ![]()
2. Найдите значение выражения:

3. Известно, что а < 0 и b < 0. Представьте выражение √аb в виде произведения корней.
Карточка 2
1. Расположите в порядке возрастания числа: ![]()
2. Найдите значение выражения:

3. Известно, что а < 0 и b < 0. Представьте выражение
в виде частного корней.
Решение заданий карточки 1
1. Все дроби имеют числители, равные 1. Поэтому достаточно сравнить знаменатели дробей. Имеем:
поэтому ![]()

3. Если a < 0 и b < 0, то ![]()
Чтобы подкоренные выражения стали положительными, перед ними нужно поставить “минус”. Получим, что ![]()
IV. Итоги урока.
- Сформулируйте свойство вычисления корня из произведения неотрицательных чисел.
- Сформулируйте свойство вычисления корня из частного от деления неотрицательного числа на положительное число.
- Сформулируйте правила умножения и деления корней.
- Как преобразовать выражение вида √xy, если корни из чисел х и у не извлекаются?
Домашнее задание: № 373, 375, 377 (б, г, е), 387 (б, г, е, з).