Алгебра поурочные планы 8 класс - по учебнику Ю. Н. Макарычева
РЕШЕНИЕ КВАДРАТНЫХ УРАВНЕНИЙ ПО ФОРМУЛЕ - КВАДРАТНЫЕ УРАВНЕНИЯ
Цель: продолжить формирование умения решать квадратные уравнения по формуле.
Ход урока
I. Организационный момент.
II. Устная работа.
Вычислите:

III. Проверочная работа.
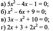
Вычислите дискриминант квадратного уравнения и напиши те, сколько корней имеет уравнение:
|
Вариант 1 |
Вариант 2 |
|
Ответы: |
Ответы: |
|
Вариант 1 |
Вариант 2 |
|
а) D = 36, 2 корня; б) D = 0, 1 корень; в) D = 49, 2 корня; г) D = -20, нет корней. |
а) D = 1, 2 корня; б) D = 0, 1 корень; в) D = 16, 2 корня; г) D = -15, нет корней. |
IV. Формирование умений и навыков.
На этом уроке основное внимание следует уделить непосредственному применению алгоритма вычисления корней квадратного уравнения по формуле. Важно, чтобы учащиеся запомнили этот алгоритм, а также желательно, чтобы они начали запоминать формулу корней.
Во избежание формального применения алгоритма на этом уроке следует решать упражнения, в которых требуется проводить преобразования квадратного уравнения к общему виду.
Кроме того, следует приучать учащихся преобразовывать даже квадратные уравнения стандартного вида к более “удобным”, решение которых будет менее громоздким и трудным, чем решение исходного уравнения. Для этого следует обратить внимание на три случая, встречающиеся при решении квадратных уравнений:
1) Коэффициент а является отрицательным. Нужно домножить обе части уравнения на -1.
2) Все коэффициенты уравнения имеют общий делитель. Нужно разделить обе части уравнения на этот делитель.
3) Среди коэффициентов уравнения встречаются дробные. Нужно умножить обе части уравнения на наименьшее общее кратное знаменателей дробей, чтобы коэффициенты стали целыми (возможны исключения).
Также на этом уроке следует чередовать полные и неполные квадратные уравнения, чтобы учащиеся осознанно выбирали рациональный способ решения: по общей формуле либо по одному из алгоритмов решения неполного квадратного уравнения.
• № 541 (а, г, д), 542 (б, г, ж), 543 (б, е),
• № 544 (а, г), 546 (б), 547 (б, г), 549.
№ 544.

Примечание. При решении этого квадратного уравнения нецелесообразно домножать обе части уравнения на число, чтобы получить целые коэффициенты. Наоборот, работа с дробным свободным членом позволяет упростить ход вычислений.

№ 546.

№ 549.
x2 = 0,5x + 3.
Графическое решение
Построим график функций у = х2 и у = 0,5х + 3.
Абсциссы точек пересечения графиков будут являться решением данного уравнения.
Графиком функции у = х2 является парабола, вершина которой находится в начале координат, ветви направлены вверх. Контрольные точки:
|
x |
-2 |
-1 |
0 |
1 |
2 |
|
y |
4 |
1 |
0 |
1 |
4 |
Графиком функции у = 0,5х + 3 является прямая, проходящая через точки
|
x |
0 |
-2 |
|
y |
3 |
2 |
x1 ≈ -1; х2 = 2.

Аналитическое решение (с помощью формулы корней)

Ответ: -1,5; 2.
V. Итоги урока.
- Как определить количество корней квадратного уравнения?
- Каков алгоритм вычисления корней квадратного уравнения?
- Что нужно сделать, прежде чем применять алгоритм вычисления корней, если коэффициент а квадратного уравнения является отрицательным?
- Что нужно сделать, если все коэффициенты квадратного уравнения имеют общий делитель?
- Что нужно сделать, если хотя бы один коэффициент квадратного уравнения является дробным?
Домашнее задание: № 542 (а, в, е, з), 543 (г, д), 544 (в), 545 (а, г), 547 (в).

