Алгебра поурочные планы 8 класс - по учебнику Ю. Н. Макарычева
ИСПОЛЬЗОВАНИЕ СВОЙСТВ СТЕПЕНИ С ЦЕЛЫМ ПОКАЗАТЕЛЕМ ДЛЯ НАХОЖДЕНИЯ ЗНАЧЕНИЙ ВЫРАЖЕНИЙ - СТЕПЕНЬ С ЦЕЛЫМ ПОКАЗАТЕЛЕМ. ЭЛЕМЕНТЫ СТАТИСТИКИ
Цели: изучить свойства степени с целым показателем; формировать умение применять данные свойства для нахождения значения выражения.
Ход урока
I. Организационный момент.
II. Устная работа.
Вычислите:

III. Объяснение нового материала.
Объяснение проводить по следующей схеме:
1. Актуализировать знания.
Вспомнить свойства степени с натуральным показателем и продемонстрировать их применение для преобразования и нахождения значений выражений.

2. Сообщить учащимся, что все рассмотренные свойства распространяются и на степени с любым целым показателем. Единственное: что предполагаем: основание степени не равно нулю.
На доску выносится запись:

Доказательство утверждений можно рассмотреть по учебнику на с. 207.
3. Привести примеры, показывающие применение свойств степени с целым показателем для нахождения значения выражения (с. 207-208 учебника, примеры 1-3).
IV. Формирование умений и навыков.
На этом уроке необходимо начать формирование у учащихся следующих умений:
- непосредственно применять свойства степени с целым показателем для нахождения значения выражений;
- преобразовывать выражение в степень с “нужным” основанием для рационального применения свойств степени с целым показателем;
- упрощать выражения, используя свойства степени с целым показателем.
• Выполнение заданий по учебнику.
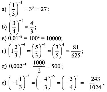
№ 985.

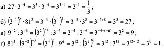
№ 987, 988 - самостоятельное решение (два ученика у доски).
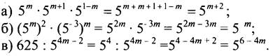
№ 989.

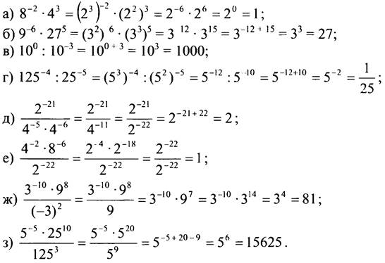
№ 990.

№ 992.

№ 993.
При выполнении этого упражнения учащиеся должны сами определить, в виде степени с каким основанием им удобно и необходимо представить выражение.

• Задание повышенной трудности для сильных учащихся.
№ 995.
![]()
![]()
V. Итоги урока.
- Сформулируйте правила умножения и деления степеней с одинаковым основанием.
- Сформулируйте правило возведения в целую степень произведения и дроби.
- Сформулируйте правило возведения степени в степень.
Домашнее задание: № 986, 991, 994, 1072.