Поурочные разработки по Алгебре для 9 класса к учебнику Ю.Н. Макарычева
Зачетная работа по теме «Квадратичная функция» - Степенная функция. Корень n-й степени - Квадратичная функция
Цель: проверка знаний учащихся по вариантам одинаковой сложности.
Ход урока
I. Сообщение темы и цели урока
II. Варианты зачетной работ.
Вариант 1
А
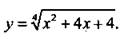
1. Найдите область определения функции ![]()
2. Найдите область значений функции у = 2х2 - 8х.
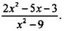
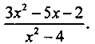
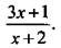
3. Сократите дробь ![]()
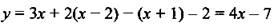
4. Упростите выражение 
5. Пусть x1 и x2 — корни трехчлена 2х2 - 5х + 1. Найдите значение выражения x1х22 + x12х2.
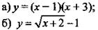
6. Постройте график функции.
![]()
В
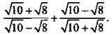
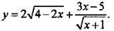
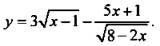
7. Упростите выражение ![]()
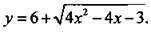
8. Найдите наименьшее значение функции
При каких значениях х оно достигается?
9. Найдите координаты точек прямой у = 6х - 35, равноудаленных от осей координат.
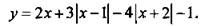
10. Постройте график функции ![]()
С
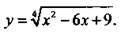
11. Найдите промежутки возрастания и убывания функции ![]()
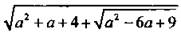
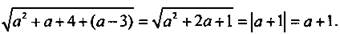
12. Упростите выражение
при a ≤ 4.
13. Прямая проходит через точку (0; -1) и касается гиперболы у = 1/x. В какой точке эта прямая пересекает ось абсцисс.
Вариант .
А
1. Найдите область определения функции ![]()
2. Найдите область значений функции у = 4х - 2х2.
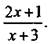
3. Сократите дробь ![]()
4. Упростите выражение 
5. Пусть х1 и х2 - корни трехчлена 3х2 - 2х - 4. Найдите значение выражения x12х2 + x1х22.
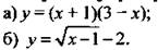
6. Постройте график функции.
![]()
В
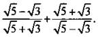
7. Упростите выражение ![]()
8. Найдите наименьшее значение функции
При каких значениях х оно достигается?
9. Найдите координаты точек прямой у = -5х - 24, равноудаленных от осей координат.
10. Постройте график функции ![]()
С
11. Найдите промежутки возрастания и убывания функции ![]()
12. Упростите выражение
при а ≥ 3.
13. Прямая проходит через точку (0; 3) и касается гиперболы у = 3/x. В какой точке эта прямая пересекает ось абсцисс.
III. Ответы и решени.
Вариант 1
1. Ответ: D(у) = (-1; 2].
2. Ответ: Е(у) = [-8; +∞).
3. Ответ: ![]()
4. Ответ: 18.
5. Ответ: 5/4.
6. Ответ: график построен.
7. Ответ: 18/5.
8. ymin = 6 при x = -0,5 и x = 1,5.
9. Ответ: (5; -5) и (7; 7).
10. Ответ: график построен.
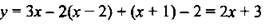
11. Раскроем знаки модуля и найдем вид функции у = 3х + 2|x - 2| - |x + 1| - 2 в каждом промежутке:
а) при х ≤ -1 получаем:
- функция возрастает;
б) при -1 ≤ х ≤ 2 имеем:
- функция постоянна;
в) при х ≥ 2 получаем:
— функция возрастает.
Ответ: промежутки возрастания (-∞; -1] и [2; +∞), промежутков убывания нет.
12. Упростим выражение ![]()
Учтено, что ![]()
Ответ: 7 - а.
13. Так как прямая проходит через точку (0; -1), то ее вид: у = ах - 1. Если прямая у = ах - 1 и гипербола у = 1/x касаются, то уравнение ах - 1 = 1/x, или ах2 - х - 1 = 0, имеет единственный корень. Поэтому дискриминант D = 1 + 4а = 0, откуда а = -1/4. Прямая у = -1/4х - 1 пересекает ось абсцисс в точке x = -4.
Ответ: х = -4.
Вариант 2
1. Ответ: D(y) = [1; 4).
2. Ответ: Е(у) = (-∞; 2].
3. Ответ: ![]()
4. Ответ: 8.
5. Ответ: -10/9.
6. Ответ: график построен.
7. Ответ: 35/12.
8. ymax = 7 при х = -2 и х = 2/3.
9. Ответ: (-4; -4) и (-6; 6).
10. Ответ: график построен.
11. Раскроем знаки модуля и найдем вид функции у = 2х + 3|x - 1| - 4|x + 2| - 1 в каждом промежутке:
а) при х ≤ -2 получаем: у = 2х - 3(х - 1) + 4(x + 2) - 1 = 3х + 10 - функция возрастает;
б) при -2 ≤ х ≤ 1 имеем: у = 2х - 3(х - 1) - 4(х + 2) - 1 = -5х - 6 - функция убывает;
в) при х ≥ 1 получаем: у = 2х + 3(х - 1) - 4(х + 2) - 1 = х - 12 - функция возрастает.
Ответ: промежутки возрастания (-∞; -2] и [1; +∞), промежуток убывания [-2; 1].
12. Упростим выражение ![]()
Учтено, что а ≥ 3 и ![]()
Ответ: а - 1.
13. Так как прямая проходит через точку (0; 3), то ее вид: у = ах + 3. Если прямая у = ах + 3 и гипербола у = 3/x касаются, то уравнение ах + 3 = 3/x, или ах2 + 3х - 3 = 0, имеет единственный корень. Поэтому дискриминант D = 9 + 12а = 0, откуда а = -3/4. Прямая у = -3/4х + 3 пересекает ось абсцисс в точке х = 4.
Ответ: х = 4.