Математика сборник задач для подготовки к ЕГЭ
Уравнения. Системы уравнений - Алгебра и начала анализа - Повышенный уровень 2
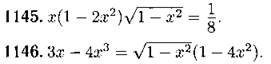
Решите уравнение (1145—1146):

7.1.2. Комбинированные уравнения
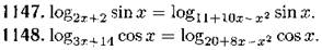
Решите уравнение (1147—1148):
![]()
Решите уравнение (1145—1146):

7.1.2. Комбинированные уравнения
Решите уравнение (1147—1148):
![]()