Высшая математика мини-справочник для ВУЗов
Плоскость - АНАЛИТИЧЕСКАЯ ГЕОМЕТРИЯ
Пусть вектор
— вектор нормали к рассматриваемой плоскости (перпендикулярен данной плоскости), а М0(х0, у0, z0) — точка, лежащая на этой плоскости.
Тогда уравнение плоскости будет иметь вид
![]()
Общий вид уравнения плоскости
![]()
где А, В, С — координаты вектора нормали.

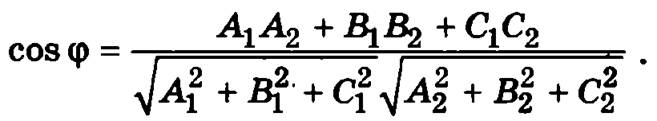
Если даны уравнения двух плоскостей

то угол φ между этими плоскостями определяют из соотношения

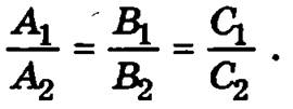
Данные плоскости будут параллельны, если

Данные плоскости будут перпендикулярны, если А1А2 + В1В2 + C1C2 = 0.
Если задано уравнение плоскости Ах + By + Cz + D = 0 и координаты точки М0(х0, y0, z0), не лежащей на плоскости, то расстояние d от данной точки до указанной плоскости определяется формулой
