Высшая математика мини-справочник для ВУЗов
Точки разрыва - ВВЕДЕНИЕ В МАТЕМАТИЧЕСКИЙ АНАЛИЗ
Если нарушено хотя бы одно из условий непрерывности функции в некоторой точке, то говорят, что в этой точке функция терпит разрыв. А сама эта точка называется точкой разрыва. Существуют три типа точек разрыва.
1. Точка устранимого разрыва. Точка х0 называется точкой устранимого разрыва, если существует предел
но в самой точке функций или не определена, или ![]()
Пример. Функция
в точке х0 = 0 имеет устранимый разрыв, так как она не определена в этой точке, хотя соответствующий предел существует 
Разрыв в точке х0 = 0 можно устранить, доопределив функцию и положив у(0) = 1.
Поэтому такие точки называются точками устранимого разрыва.
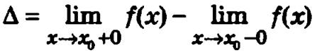
2. Точка разрыва первого рода. Точка x0 называется точкой разрыва первого рода, если в этой точке функция имеет конечные, но не равные друг другу односторонние пределы
Разность этих пределов
называют скачком функции.
Пример.
Функция

График этой функции имеет вид

Рис. 6
Имеем 
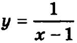
3. Точка разрыва второго рода. Точка х0 называется точкой разрыва второго рода, если в этой точке не существует или бесконечен хотя бы один из односторонних пределов
или ![]()
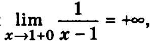
Пример. Функция
в точке x0 = 1 имеет левый односторонний предел
а правый односторонний предел
следовательно точка x0 = 1 есть точка разрыва второго рода.