Высшая математика мини-справочник для ВУЗов
МАТЕМАТИЧЕСКАЯ СТАТИСТИКА
При проведении многих исследований приходится иметь дело с изучением свойств различных совокупностей однотипных объектов. Экономически не выгодно (а иногда и невозможно) исследовать всю совокупность, если по результатам изучения ее части можно получить с достаточной достоверностью необходимую информацию о всей совокупности. Такой метод исследования называется выборочным.
Вся совокупность объектов, подлежащих изучению, называется генеральной совокупностью. Та часть объектов генеральной совокупности, которая попала в число исследуемых, называется выборочной совокупностью, или выборкой.
Выборки сформированные посредством случайного выбора объектов называются собственно-случайными. Выборка называется повторной, если отобранные объекты после исследования возвращаются в генеральную совокупность (и значит, могут повторно быть выбраны для исследования). Выборка называется бесповторной, если отобранные объекты после исследования не возвращаются в генеральную совокупность.
Любое выборочное исследование не дает точной информации о генеральной совокупности, и, следовательно, каждый результат, полученный по данным выборки, имеет некоторую погрешность, которая называется ошибкой репрезентативности. Случайный характер отбора объектов в выборочную совокупность приводит к случайному характеру ошибки репрезентативности.
Количество объектов в генеральной совокупности называется объемом генеральной совокупности. Количество объектов в выборке называется объемом выборки.
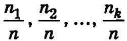
Различные значения изучаемого признака хi, наблюдаемые у членов совокупности, называются вариантами. Число показывающее, сколько раз встречается данный вариант хi в совокупности, называется частотой варианта. Отношение частоты варианта ni к объему совокупности N называется относительной частотой варианта ni/N.
Генеральной средней называется среднее значение изучаемого признака в генеральной совокупности

где хi — значения вариантов генеральной совокупности, Ni — частоты вариантов, N — объем генеральной совокупности.
Выборочной средней называется среднее значение изучаемого признака в выборочной совокупности

где хi — значения вариантов выборочной совокупности, ni — частоты вариантов, n — объем выборочной совокупности.
Пусть М — число элементов генеральной совокупности объема N, наделенных некоторым признаком. Тогда величина р = M/N называется генеральной долей.
Пусть m — число элементов выборочной совокупности объемам, наделенных, некоторым признаком. Тогда величина ω = m/n называется выборочной долей.
Используя выборочный метод, неизвестные величины — генеральную среднюю и генеральную долю — оценивают при помощи случайных величин — выборочной средней и выборочной доли.
Разность
определяет ошибку репрезентативности при оценке генеральной средней.
Разность ∆ = ω - р определяет ошибку репрезентативности при оценке генеральной доли.
Часто ставится вопрос об установлении закона распределения значений некоторого признака в генеральной совокупности, то есть об определении относительной частоты ni/N каждого варианта генеральной совокупности xi. Для этого формируют выборку, значения вариант которой x1, х2, ..., хk рассматриваются как значения некоторой случайной величины X и по этим значениям определяют параметры закона распределения.
Наиболее распространенным является нормальное распределение, плотность вероятности которого

Параметрами этого распределения являются математическое ожидание а — математическое ожидание и среднее квадратическое отклонение σ. При этом математическое ожидание равно выборочной средней
а параметр о равен выборочному среднему квадратическому отклонению

Полученные в результате изучения объектов выборки значения вариант x1, х2, ..., xk и соответствующие им значения относительных частот
можно представить в виде эмпирической функции распределения Fn(x), которая определяет, какая часть объектов выборочной совокупности имеет значение рассматриваемого признака меньшее х.
После определения закона распределения необходимо сопоставить данные полученного эмпирического закона распределения с соответствующим теоретическим законом распределением и в результате этого сопоставления установить, насколько подходит выбранный закон распределения. Для этой цели используются критерии согласия.
Рассмотрим критерий Колмогорова. Суть этого критерия заключается в том, что вводится функция
Dn = max |Fn(х) - F(x)|.
Здесь F(x) — функция распределения теоретического закона распределения, для которой вероятность р(λ) неравенства
с ростом числа п стремится к своему пределу

Если указанная вероятность достаточно велика, то расхождение между эмпирическим и теоретическим распределением считается несущественным и выбранный закон подходит. В противном случае считается, что выбранный закон распределения не подходит.
При использовании результатов выборочного исследования оценивают границы ошибки для среднего значения изучаемого признака
и ошибки для доли ∆ = ω - р . Для этого используют доверительные интервалы, то есть интервалы, в которые с заданной вероятностью β попадают значения генерального среднего и генеральной доли.
Доверительный интервал для оценки генерального среднего имеет вид
![]()
где
— предельная ошибка выборки, а
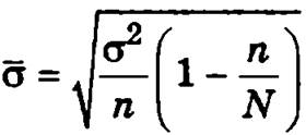
— средняя квадратическая ошибка, равная
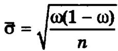
в случае повторной выборки и
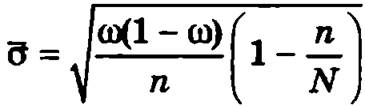
в случае бесповторной выборки,
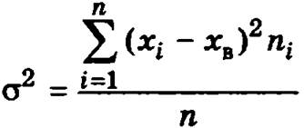
— дисперсия выборочной совокупности, параметр t — определяется из уравнения Ф(t) = β.
Доверительный интервал для оценки генеральной доли имеет вид
[ω - ∆, ω + ∆],
где
— предельная ошибка выборки, а
— средняя квадратическая ошибка, равная
в случае повторной выборки и
в случае бесповторной выборки, параметр t определяется из уравнения Ф(t) = β.