Математика 5 класс - Поурочные планы по учебнику Н. Я. Виленкина
Смешанные числа - урок 2 - III ЧЕТВЕРТЬ
Оборудование: плакат для устных упражнений.
Ход урока
I. Проверка домашнего задания.
1. Консультанты докладывают о результатах проверки у класса домашнего задания, даются пояснения учителя по заданиям, которые вызвали затруднения у учащихся.
II. Устные упражнения.
«Математические аттракционы».
1. «Лабиринт» (заполнить пропуски в лабиринте числами).

2. «Качели».

III. Работа по теме урока.
1. 4 человека у доски: № 1059 (5), 1059 (9), 1059 (10), 1059 (11).
2. 4 человека у доски: № 1060 (1), 1060 (2), 1060 (3), 1060 (4).
3. № 1062, 1063 (с комментированием с места), № 1065 - объяснение «по цепочке», № 1067.
4. На повторение: № 1078,1080 (самостоятельно по вариантам).
IV. Итог урока
Тест
1) Смешанное число
можно получить при делении на 4 натурального числа:
а) 58; б) 53; в) 17.
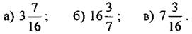
2) Неполное частное 7, делитель 16, остаток 3. Результат деления в виде смешанного числа записывается:
![]()
3) Из 25 м ткани сшили 8 костюмов. Сколько метров ткани пошло на один костюм?

V. Домашнее задание: п. 28, повторить п. 14,15; № 1082 (б, г), 1083 (б), 1086.