Математика 5 класс - Поурочные планы по учебнику Н. Я. Виленкина
Проценты - урок 2 - IV ЧЕТВЕРТЬ
Цели: научить решать задачи на проценты.
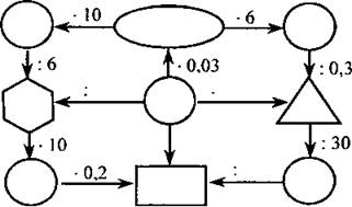
Оборудование: плакат с «лабиринтом» для устных упражнений.
Ход урока
I. Устные упражнения.
1. «Лабиринт». Заполнить пропуски числами:

2. Задача. Лучшим ученикам подарили 100 книг, причем каждый получил по 5 книг. Сколько процентов составляют книги, полученные каждым учеником?
3. Задача. На пастбище было 100 животных: 39 телят, 52 овцы, а остальные козы. Сколько процентов от общего количества животных составляют овцы, телята и козы?
II. Изучение нового материала.
1. Разработать и решить задачи № 1 и № 2 из п. 40.
2. Какое сходство у этих задач в решении? Чем отличаются эти задачи?
III. Закрепление.
1. Закончить № 1532,1533,1534,1536, 1540, 1544,1543.
2. На повторение № 1563 (а), 1566.
3. На повторение № 1565.
IV. Итог урока.
1. Как правильно говорить и читать?
2. Исторические сведения о процентах и их обозначении.