Поурочные разработки по Физике 7 класс к учебникам Перышкина А. В. и Громова С. В.
Сообщающиеся сосуды - Давление твердых тел, жидкостей и газов
Цель урока: изучить особенности сообщающихся сосудов и сформулировать основной закон сообщающихся сосудов.
Оборудование: различные виды сообщающихся сосудов; два стеклянных сосуда, соединенных резиновой трубкой; таблица «Шлюз».
Демонстрации:
1. Равновесие в сообщающихся сосудах однородной жидкости (рисунок 107 учебника).
2. Равновесие однородной жидкости в сообщающихся сосудах (по рис. 109 учебника); равновесие в сосудах неоднородной жидкости (по рис. 110 учебника).
Ход урока
I. Проверка домашнего задания
Проверку домашнего задания и качество выполнения можно провести выборочно у нескольких учеников по желанию учителя.
— Вопросы для повторения.
— Что такое давление?
— Как определить давление, которое оказывает человек на пол?
— В чем заключается закон Паскаля?
— Как изменяется давление внутри жидкости с глубиной?
— Как изменяется давление газа при уменьшении его объема?
— Зависит ли давление, которое оказывает жидкость на погруженное в нее тело, от плотности этого тела?
— Как увеличить давление? Как уменьшить давление?
— Почему режущие и колющие инструменты оказывают на тело очень большое давление?
II. Демонстрация опытов
1. Рассмотрение нового материала следует начать с проведение первой демонстрации — вода наливается в сообщающиеся сосуды различных форм. Для этого опыта лучше пользоваться водой, в которой растворили немного медного купороса. Наиболее эффектно опыт выглядит на прозрачных сосудах сложной формы.
По итогам демонстрации учащиеся делают вывод, что независимо от формы сосудов, жидкость устанавливается в них на одном уровне.
Определение: Сосуды, имеющие общую (соединяющую их) часть, заполненную покоящейся жидкостью, называются сообщающимися.
2. Затем проводится опыт по рис. 106 учебника. Учащиеся делают вывод о том, что после открытия крана, жидкость занимает одинаковое положение в коленах U-образной трубки (конечно, это при условии, что начальный столб жидкости в первом колене был однородным).
III. Изучение нового материала
Таким образом, мы можем сформулировать закон сообщающихся сосудов:
В сообщающихся сосудах поверхности однородной жидкости устанавливаются на одном уровне.
Докажем этот закон.
Рассмотрим частицы жидкости, которые находятся в том месте, где соединяются сосуды (окрестности точки А).

Так как частицы жидкости находятся в покое, то силы давления, действующие на них слева и справа, равны, т. е.:
F1 = F2
С другой стороны, эти силы пропорциональны давлениям, а давления — высотам столбов. Поэтому из равенства F1 = F2 следует:

т. е. высоты столбов жидкости равны.
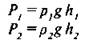
— Что же произойдет, если в сообщающиеся сосуды налить две не- смешивающиеся жидкости разной плотности?
— Как будут располагаться уровни?
В U-образную трубку можно налить воду плотностью ρ1, а сверху в одно из колен — керосин с плотностью ρ2, тогда р1 > р2. Мы увидим, что уровни жидкостей будут различны.

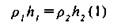
Найдем, как относятся высоты h1 и h2.
Обе жидкости покоятся, значит, давление столбов на уровне АВ должны быть равны, т. е.:
Р1 = Р2
но:
![]()
Откуда получаем:
![]()
или:
![]()
Из (1) следует, что если ρ1 > ρ2, то h1 > h2.
Таким образом, в сообщающихся сосудах, содержащих разные жидкости высота столба тем больше, чем меньше плотность жидкости. Отсчет высоты столбов происходит от линии соприкосновения поверхностей двух жидкостей.
IV. Решение задач
Чтобы научить детей быстро и с легкостью решать задачи о сообщающихся сосудах любого уровня сложности, можно предложить следующий план решения таких задач:
1) Выделите сообщающиеся сосуды и жидкость в них. Изобразите на рисунке.
2) Выделите слой жидкости, о давлении на который говорится в условии, запишите его характеристики. Изобразите.
3) Проведите горизонталь через выделенный слой.
4) Установите, какие тела действуют на выделенном уровне в каждом колене сообщающихся сосудов, их характеристики. Изобразите.
5) Установите, находятся ли жидкости в покое, и запишите условие равновесия.
6) Запишите кратко данные. Составьте необходимое число уравнений, связывающих неизвестные величины с известными по условию.
7) Выведите формулу для расчета искомой величины, проверив ее правильность по единицам величин слева и справа от знака равенства.
8) Выразите данные по условию величины в единицах СИ и проведите расчет.
Можно для примера коллективно решить одну-две задачи по предложенному плану.
Решение задач №№ 543-545.
V. Повторение изученного
В заключение урока предложите ребятам самостоятельно объяснить использование закона сообщающихся сосудов в быту и технике:
— чайник, кофейник, самовар;
— фонтаны (можно продемонстрировать работу фонтана на примере U-образной трубки);
— работа шлюзов (описать устройство шлюза по таблице);
— водопровод с водонапорной башней;
— сифон под раковиной;
— артезианские колодцы.
Домашнее задание
§ 39; вопросы к параграфу; задачи №№ 536-539.
Желающим можно предложить на дом задачу посложнее:
В цилиндрических сообщающихся сосудах находится вода. Площадь поперечного сечения широкого сосуда в 4 раза больше плошали поперечного сечения узкого сосуда. В узкий сосуд наливают керосин, который образует столб высотой 20 см. На сколько повысится уровень воды в широком сосуде и опустится в узком?
Задание 9 страница 95.
Дополнительный материал
Чего не знали древние
Жители современного Рима до сих пор пользуются остатками водопровода, построенного еще древними: солидно возводили римские рабы водопроводные сооружения.
Не то приходится сказать о познаниях римских инженеров, руководивших этими работами; они явно недостаточно были знакомы с основами физики. Римский водопровод прокладывался не в земле, а над ней, на высоких каменных столбах. Для чего это делалось? Разве не проще было бы прокладывать в земле трубы, как делается теперь? Конечно, проще, но римские инженеры того времени имели весьма смутное представление о законах сообщающихся сосудов. Они опасались, что в водоемах, соединенных очень длинной трубой, вода не установится на одинаковом уровне. Если трубы проложены в земле, следуя уклонам почвы, то в некоторых участках вода ведь должна течь вверх, — и вот римляне боялись, что вода вверх не потечет. Поэтому они обычно придавали водопроводным трубам равномерный уклон вниз на всем их пути (а для этого требовалось нередко либо вести воду в обход, либо возводить высокие арочные подпоры). Одна из римских труб, Аква Марциа, имеет в длину 100 км, между тем как прямое расстояние между ее концами вдвое меньше. Полсотни километров каменной кладки пришлось проложить из-за незнания элементарного закона физики!
Первые водопроводы
Первые простейшие водопроводы были сооружены несколько тысяч лет назад. В Древнем Египте подземная вода из глубоких колодцев поднималась водоподъемниками и по керамическим или деревянным трубам подавалась потребителям. В Вильнюсе строительство водопровода было начато в 1501 г., в Париже в конце 18 в. Был сооружен первый водопровод с деревянными трубами, в Англии - в 18 в., в Москве — в 1804 г.
Из «Книги рекордов Гиннеса» (для сообщений учащихся)
Шлюзы
— Самый глубокий шлюз — Карапатео - в Португалии, на реке Дару. Он способен принимать суда с осадкой 35 м.
— Самый высокий фонтан — на Фаунтин-Хиллз (США) — был построен по заказу одной очень крупной фирмы и обошелся ей в 1,5 млн. долл. При максимальном напоре 26,3 кг/см2 и расходе 26 500 л/мин высота струи составляет 170 м. Масса воды в ней более 8 т, скорость течения 236 км/ч.
— Самая высокая водонапорная башня (64 м) была построена в 1965 г. в г. Юнион, США. Ее емкость 9 462 000 л.
— Самый протяженный в мире водопровод (563 км) проходит от г. Прета (Австралия) до золотого прииска г. Калгурли. Был сооружен в 1903 г.
— Самая протяженная водопроводная сеть (8 тыс. км) в нашей стране — в Москве. Ее строительство началось в 1781 г. с 16-километрового Мытищинского водопровода, вступившего в строй в 1804 г.
Самая большая выемка
— Коринфский канал, открытый в 1893 г. При длине 6342 км и ширине 8 м он имеет среднею глубину выемки грунта 306 м на отрезке длиной 4,2 км и максимальную глубину 459 м. Гильярдная выемка на Панамском канале имеет глубину 82 м и ширину дна 152 м. За один день в 1911 г. грунт, вынутый на этом участке, вывезен на 333 поездах, грузоподъемностью 363 т каждый.