Поурочные разработки по Физике 7 класс к учебникам Перышкина А. В. и Громова С. В.
Плавание тел. Плавание животных и человека - Давление твердых тел, жидкостей и газов
Цели урока: закрепить понимание условий для плавания тел; выяснить особенности условий плавания человека и животных
Оборудование: сосуд с водой; тела различных размеров, плотности и массы.
Демонстрации:
1. Плавание однородных тел в воде.
2. Плавание тел, у которых плотность материала больше плотности воды.
Ход урока
I. Проверка домашнего задания
Объясните эксперимент.
Возьмите две стеклянные банки: в одну налейте чистой воды в другую соленую. В каждую из них бросьте по одинаковой картофелине. В первой картофель тонет, во второй плавает.
Возьмите фарфоровую чашку и опустите ее на поверхность воды так, чтобы она плавала. Как изменится уровень воды в сосуде, если утопить чашку? Проверьте ответ экспериментально.
Одинаковая ли сила потребуется для того, чтобы удержать пустое ведро в воздухе или то же ведро, но наполненное водой в воде? Проверьте ответ экспериментально.
Самостоятельная работа
Вариант 1
1. Сила выталкивающая целиком погруженное в газ тело, равна...
А. Массе газа в объеме тела.
Б. Весу газа в объеме тела.
В. Массе тела.
Г. Весу тела.
2. Три одинаковых по размеру шарика, 1, 2, 3, погружены в жидкость. На какой из шариков действует наибольшая выталкивающая сила?

А. На 1-й.
Б. На 2-й.
В. На 3-й.
Г. На все шары действует одинаковая выталкивающая сила.
3. Два одинаковых кубика погружены в сосуды с жидкостями. В каком сосуде, 1 или 2, плотность жидкости меньше?

А. В обоих сосудах плотности жидкостей одинаковые.
Б. В первом.
В. Во втором.
4. На весах уравновешены два тела, 1 и 2. Нарушится ли равновесие, если их опустить в сосуд с керосином?

А. Тело 1 перевесит тело 2.
Б. Тело 2 перевесит 1.
В. Равновесие не нарушится.
5. Тело объем 500 см3 погружено в воду. Вычислите архимедову силу, действующую на это тело. Плотность воды 1000 кг/м3.
А. 20 Н.
Б. 5 000 000 Н.
В. 0,05 Н.
Г. 20 000 Н.
Д. 5 Н.
Ответы. 1. Б 2. Г 3. В 4. А 5. Д
Вариант 2
1. На тело, погруженное целиком в жидкость, действует выталкивающая сила, равная...
А. Весу тела.
Б. Массе тела.
В. Весу жидкости в объеме тела.
Г. Массе жидкости в объеме тела.
2. Три одинаковых по размеру шарика, 1, 2, 3, погружены в жидкость. На какой из шариков действует наименьшая выталкивающая сила?

А. На 1-й.
Б. На 2-й.
В. На 3-й.
Г. На все шары действует одинаковая выталкивающая сила.
3. Два одинаковых кубика погружены в сосуды с жидкостями. В каком сосуде, 1 или 2, на кубик действует наибольшая выталкивающая сила?

А. В обоих сосудах действует одинаковая выталкивающая сила.
Б. В первом.
В. Во втором.
4. На весах уравновешены два тела, 1 и 2. Нарушится ли равновесие, если тело 1 опустить в воду, а тело 2 — в машинное масло?

А. Тело 1 перевесит тело 2.
Б. Тело 2 перевесит 1.
В. Равновесие не нарушится.
5. Тело объем 400 см3 погружено в спирт. Вычислите архимедову силу, действующую на это тело. Плотность спирта 800 кг/м3.
А. 3 200 000 Н.
Б. 20 Н.
В. 5 Н.
Г. 3,2 Н.
Д. 2 Н.
Ответы. 1. В 2. Б 3. Б 4. В 5. Г
II. Демонстрация опытов
Прежде, чем переходить к изложению нового материала, следует продемонстрировать первый опыт, который показывает, что некоторые тела, погруженные в воду, тонут, другие - всплывают, а третьи - плавают на той глубине, на которую их погрузили.
III. Изучение нового материала
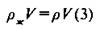
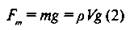
Мы уже знаем, что тело плавает, если mg = FA. Это условие можно переписать так:
![]()
В то же время, сила тяжести тела равна:
![]()
Приравняем правые части (1) и (2), получим:
![]()
откуда:
![]()
Из выражения (3) следует:
1. Для того чтобы тело плавало при полном погружении, необходимо, чтобы плотность тела была равна плотности воды.
Это легко доказать: если тело погружено полностью, то V = Vж. Тогда в выражении (3) объемы можно сократить, получим: ρж = ρ.
2. Для того чтобы тело плавало, находясь определенной частью над жидкостью, необходимо, чтобы плотность тела была меньше плотности жидкости.
Докажем это. Согласно условию V < Vж. Тогда равенство (3) предполагает для сохранения равенства условие: ρж > ρт. Т. е. при ρт > ρж тело тонет.
IV. Плавание животных и человека
Большой познавательный интерес имеет рассмотрение принципов плавания человека и животных. При объяснении этого материала важно подчеркнуть, что можно различать два вида плавания - активное и пассивное.
При пассивном плавании движение объекта происходит за счет течений. При этом средняя плотность тела меньше плотности воды.
При активном плавании пользуются либо гребными устройствами (плавники, ласты, руки), либо используют реактивный принцип движения (медузы, каракатицы).
Для рыб очень важна роль плавательного пузыря. Изменяя его объем, можно регулировать глубину погружения.
Человек имеет плотность примерно равную плотности пресной воды. Поэтому в реке или озере его плавание должно быть активным - при помощи рук и ног.
В соленой морской воде он может свободно держаться на воде, увеличивая объем тела при помощи глубокого вздоха.
Решение задач. 641-645
Домашнее задание
§ 50, 49; вопросы к параграфу; задача 638-640; «Экспериментальное задание» (стр. 123).
Дополнительный материал
Средняя плотность тела человека несколько больше, чем воды, поэтому в пресной воде не умеющий плавать человек тонет. У соленой воды плотность выше. Плотность воды в заливе Кара-Богаз-Гол в Каспийском море - почти на 20% больше, чем у пресной воды. В этом заливе невозможно утонуть. Можно лечь на воду и читать книгу.
Давление на морских глубинах очень велико, поэтому человек не может находится на глубине без специальных аппаратов. При помощи акваланга человек может спуститься на глубину около 100 метров.
При глубоком погружении с аквалангом человек должен предохранить себя от кессонной болезни. Она возникает, если аквалангист быстро поднимается с глубины на поверхность. Давление воды резко уменьшается и растворенный в крови воздух расширяется. Образующиеся пузырьки закупоривают кровеносные сосуды, мешая движению крови, и человек может погибнуть. Поэтому аквалангисты всплывают медленно, чтобы кровь успевала уносить образующиеся пузырьки воздуха в легкие.
Защитив себя от давления воды корпусом подводной лодки, человек может опуститься до километра в глубь моря. И лишь специальные аппараты — батискафы и батисферы — позволяют опускаться до глубин нескольких километров. На такие глубины почти не проникает свет и поэтому там царит вечная тьма.