Физика - Основной государственный экзамен
ОТВЕТЫ
ОТВЕТЫ К ТРЕНИРОВОЧНЫМ ЗАДАНИЯМ
Задания с выбором ответа и с кратким ответом
|
Номер |
Номер |
Номер |
Номер |
Номер |
Номер |
Номер |
Номер |
Номер |
Номер |
|
вопроса |
ответа |
вопроса |
ответа |
вопроса |
ответа |
вопроса |
ответа |
вопроса |
ответа |
|
1 |
3 |
28 |
3 |
55 |
32 |
82 |
2 |
109 |
1 |
|
2 |
3 |
29 |
1 |
56 |
20 |
83 |
1 |
110 |
4 |
|
3 |
3 |
30 |
2 |
57 |
2 |
84 |
3 |
111 |
4 |
|
4 |
3 |
31 |
4 |
58 |
42 |
85 |
4 |
112 |
3 |
|
5 |
4 |
32 |
4 |
59 |
0,5 |
86 |
1 |
113 |
3 |
|
6 |
1 |
33 |
3 |
60 |
1320 |
87 |
1 |
114 |
2 |
|
7 |
1 |
34 |
2 |
61 |
12 |
88 |
1 |
115 |
2 |
|
8 |
4 |
35 |
3 |
62 |
3 |
89 |
4 |
116 |
4 |
|
9 |
2 |
36 |
1 |
63 |
2 |
90 |
4 |
117 |
1 |
|
10 |
1 |
37 |
2 |
64 |
4 |
91 |
2 |
118 |
2 |
|
11 |
2 |
38 |
2 |
65 |
1 |
92 |
4 |
119 |
2 |
|
12 |
3 |
39 |
2 |
66 |
4 |
93 |
2 |
120 |
4 |
|
13 |
2 |
40 |
2 |
67 |
4 |
94 |
4 |
121 |
4 |
|
14 |
1 |
41 |
3 |
68 |
2 |
95 |
2 |
122 |
3 |
|
15 |
2 |
42 |
3 |
69 |
4 |
96 |
1 |
123 |
3 |
|
16 |
3 |
43 |
2 |
70 |
2 |
97 |
3 |
124 |
4 |
|
17 |
3 |
44 |
4 |
71 |
4 |
98 |
1 |
125 |
1 |
|
18 |
4 |
45 |
3 |
72 |
1 |
99 |
1 |
126 |
3 |
|
19 |
4 |
46 |
3 |
73 |
2 |
100 |
2 |
127 |
4 |
|
20 |
1 |
47 |
4 |
74 |
2 |
101 |
2 |
128 |
2 |
|
21 |
2 |
48 |
4 |
75 |
2 |
102 |
2 |
129 |
2 |
|
22 |
3 |
49 |
80 |
76 |
1 |
103 |
2 |
130 |
3 |
|
23 |
2 |
50 |
0,2 |
77 |
3 |
104 |
1 |
131 |
2 |
|
24 |
3 |
51 |
ю |
78 |
3 |
105 |
1 |
132 |
1 |
|
25 |
1 |
52 |
5 |
79 |
2 |
106 |
3 |
133 |
1 |
|
26 |
2 |
53 |
1 |
80 |
3 |
107 |
2 |
134 |
2 |
|
27 |
2 |
54 |
3 |
81 |
2 |
108 |
2 |
Задания с выбором ответа к текстам
|
Номер текста |
Номер вопроса |
Номер ответа |
Номер текста |
Номер вопроса |
Номер ответа |
|
1 |
1.1 |
1 |
7 |
7.1 |
4 |
|
1.2 |
4 |
7.2 |
2 |
||
|
2 |
2.1 |
1 |
8 |
8.1 |
3 |
|
2.2 |
2 |
8.2 |
2 |
||
|
3 |
3.1 |
4 |
9 |
9.1 |
3 |
|
3.2 |
2 |
9.2 |
1 |
||
|
4 |
4.1 |
4 |
10 |
10.1 |
3 |
|
4.2 |
2 |
10.2 |
1 |
||
|
5 |
5.1 |
4 |
11 |
11.1 |
4 |
|
5.2 |
1 |
11.2 |
1 |
||
|
6 |
6.1 |
2 |
12 |
12.1 |
1 |
|
6.2 |
3 |
12.2 |
2 |
Качественные задания к текстам
|
Номер задания |
Ответ |
|
1.3 |
1. Соединить стержни. 2. При соприкосновении стержней в месте их контакта сопротивление увеличивается, стержни разогреваются. После этого их слегка раздвигают, между концами углей образуется яркое пламя, а угли раскаляются добела. Дуга начинает устойчиво гореть. |
|
2.3 |
1. В городе туманы более плотные, чем в горных районах. 2. Для образования тумана необходимы центры конденсации паров воды. В городах воздух более загрязненный, чем в горных районах, и содержит больше центров конденсации. Соответственно, больше паров воды переходит в жидкое состояние и плотность тумана становится больше. |
|
3.3 |
1. Может. 2. Температура кипения воды зависит от внешнего давления. При достаточно низком давлении вода может закипеть и при комнатной температуре. |
|
4.3 |
1. Нижняя часть выглядит более красной. 2. При прохождении земной атмосферы лучи коротковолновой части F солнечного спектра рассеиваются в большей степени, и, соответственно, в лучах, пришедших к наблюдателю на поверхности Земли, будут преобладать лучи длинноволновой (красной) части спектра. Когда Солнце находится вблизи горизонта, солнечные лучи от нижней части солнечного диска по сравнению с лучами от верхней части проходят более длинный путь через земную атмосферу, поэтому нижняя часть заходящего Солнца выглядит более красной. |
|
5.3 |
1. Увеличить силу тока в электромагните. 2. Сила тяжести, действующая на вагончик, уравновешивается силой взаимодействия между магнитами, которая тем больше, чем больше сила тока в обмотках. Следовательно, чтобы уравновесить большую силу тяжести, необходимо увеличить силу тока. |
|
6.3 |
1. Аквалангист должен всплывать медленно. 2. Давление жидкости зависит от глубины. Оно тем больше, чем выше столб воды. Концентрация растворенных в воде газов пропорциональна давлению в ней, поэтому на глубине она больше, чем на поверхности. Эти газы поглощаются тканями аквалангиста. При его подъеме из глубины на поверхность воды давление уменьшается, газы, поступившие в организм человека, освобождаются. Для того, чтобы кровь успевала уносить пузырьки газа, подниматься на поверхность нужно медленно |
|
7.3 |
1. Порог слухового восприятия повышается. 2. Шумовой фон раздражает и утомляет человека и снижает способность воспринимать звук, который воспринимается в отсутствие шумов при такой же громкости. |
|
8.3 |
1. Сила тяжести и сила торможения (сопротивления), возникающая при движении в атмосфере Земли. 2. На метеорит действуют сила тяжести и сила торможения (сопротивления) при движении в атмосфере Земли. Сила сопротивления зависит от квадрата скорости метеорита. Поскольку скорость очень велика, то и сила сопротивления значительна |
|
9.3 |
1. От Земли к облаку. 2. Мелкие капли облака, несущие положительный заряд, поднимаются вверх, крупные отрицательно заряженные капли опускаются вниз. Они по индукции наводят положительный заряд на поверхности земли. Электрический ток направлен от положительного заряда к отрицательному, следовательно, в канале молнии он направлен от земли к облаку. |
|
10.3 |
1. В приполярных областях 2. На заряженные частицы, испускаемые Солнцем, действует сила Лоренца, которая отклоняет их от первоначального направления движения. При этом сила направлена таким образом, что заряженные частицы попадают только в приполярные области Земли. |
|
11.3 |
1. Время нагревания уменьшится, 2. При увеличении частоты тока в катушке индуктивности увеличивается скорость измерения создаваемого им магнитного поля и, следовательно, увеличивается величина вихревого индукционного тока в днище кастрюли. Согласно закону Джоуля-Ленца, увеличение силы тока в проводнике приводит к увеличению количества теплоты, выделяющегося в проводнике в единицу времени |
|
12.3 |
1. Нужно. 2. Слой сажи наносится для обеспечения полного поглощения пластиной падающего на неё электромагнитного излучения. Непрозрачные тела чёрного цвета поглощают всё падающее на них электромагнитное излучение. |
Задания на установление соответствия и выбор двух ответов из пяти
|
Задания на установление соответствия |
Задания на выбор двух ответов |
||||||
|
Номер вопроса |
Номер ответа |
Номер вопроса |
Номер ответа |
Номер вопроса |
Номер ответа |
Номер вопроса |
Номер ответа |
|
135 |
421 |
147 |
21 |
159 |
25 или 52 |
166 |
24 или 42 |
|
136 |
134 |
148 |
32 |
160 |
13 или 31 |
167 |
35 или 53 |
|
137 |
451 |
149 |
21 |
161 |
14 или 41 |
168 |
15 или 51 |
|
138 |
524 |
150 |
12 |
162 |
15 или 51 |
169 |
35 или 53 |
|
139 |
214 |
151 |
33 |
163 |
12 или 21 |
170 |
35 или 53 |
|
140 |
423 |
152 |
21 |
164 |
12 или 21 |
171 |
14 или 41 |
|
141 |
354 |
153 |
21 |
165 |
14 или 41 |
172 |
12 или 21 |
|
142 |
231 |
154 |
11 |
||||
|
143 |
331 |
155 |
23 |
||||
|
144 |
212 |
156 |
13 |
||||
|
145 |
123 |
157 |
21 |
||||
|
146 |
451 |
158 |
32 |
||||
Экспериментальные задания 23
Задание 1
1) Схема экспериментальной установки:
(при равномерном движении);


Задание 2
1) Схема экспериментальной установки:


Задание 3
1. Схема экспериментальной установки (см. рисунок).
следовательно, ![]()
3. х = 50 мм = 0,05 м (измерение считается верным, если значение приведено в пределах от 48 до 52 мм, погрешность определяется главным образом погрешностью отсчёта).
Р = 2 Н (измерение считается верным, если значение приведено в пределах от 1,9 до 2,1 Н).
4. k = 2 : 0,05 = 40 Н/м (значение считается верным, если приведено в пределах от 36 до 44 Н/м).

Задание 4
1) Схема экспериментальной установки (изображение удаленного источника света (окна) формируется практически в фокальной плоскости):


Задание 5
1) Схема экспериментальной установки:


Задание 6
1) Схема экспериментальной установки:


Задание 7
1) Схема экспериментальной установки:


Задание 8
1) Схема экспериментальной установки:

2)
|
№ |
Fynp = mg = P(H) |
x (м) |
|
1 |
1 |
0,025 |
|
2 |
2 |
0,05 |
|
3 |
3 |
0,075 |
3) Вывод: при увеличении растяжения пружины сила упругости, возникающая в пружине, также увеличивается.
Задание 9
1) Схема экспериментальной установки:
2)

2)
|
№ |
I, A |
U, В |
|
1 |
0,4 |
2,4 |
|
2 |
0,5 |
3,0 |
|
3 |
0,6 |
3,6 |
3) Вывод: при увеличении напряжения на концах проводника сила тока в проводнике также увеличивается.
Задание 10
1. Схема экспериментальной установки:


Качественные задачи 24
Задание 1.
1. Быстрее сливки будут отстаиваться в холодильнике.
2. Молоко представляет собой смесь мельчайших капелек жира и воды. Капельки жира имеют плотность, меньшую плотности воды, и стремятся всплыть на поверхность. Этому процессу мешает тепловое движение молекул воды. При низкой температуре влияние теплового движения молекул меньше, и сливки отстаиваются быстрее.
Задание 2.
1. Водяной пар обжигает сильнее.
2. Поверхность кожи при кратковременном контакте с водой получает энергию только за счет охлаждения тонкого слоя воды в зоне контакта. Если же на кожу попадет пар, то энергия выделяется как при конденсации пара, так и при охлаждении образовавшейся на коже воды. И хотя масса образовавшейся воды может быть невелика, процесс конденсации сопровождается выделением большого количества теплоты, что и вызывает более сильный ожог
Задание 3.
1. Лужа кажется светлым пятном на фоне более темной дороги.
2. И лужу, и дорогу освещают только фары встречного автомобиля. От гладкой поверхности воды свет отражается зеркально, то есть вперед, и попадает в глаза пешеходу. Поэтому лужа будет казаться ярким пятном. От шероховатой поверхности дороги свет рассеивается и в меньшей степени попадает в глаза пешеходу.
Задание 4.
1. Оптические силы линз равны по модулю. 2. Оптическая сила плоскопараллельной пластины равна нулю (параллельные лучи после прохождения пластины остаются параллельными). А так как оптическая сила сложенных вместе тонких линз равна алгебраической сумме оптических сил отдельных линз, то получается, что оптические силы линз равны по модулю и противоположны по знаку.
Задание 5.
1. Уровень воды понизится.
2. Камень, лежащий на дне бассейна, вытесняет воду в объеме своего тела. Для камня, плавающего в лодке, вес вытесненной воды равен весу камня в воздухе. Учитывая, что плотность камня больше плотности воды, получаем, что в этом случае объем вытесненной воды будет больше объема камня.
Задание 6.
1. В сильные морозы скольжение ухудшается.
2. При трении лезвия о лед выделяется тепло, и тонкий слой льда, прилегающий к лезвию, плавится. Образующаяся вода играет роль смазки. В сильные морозы эта смазка не образуется, так как выделяющего при трении тепла недостаточно для нагревания и плавления льда
Задание 7.
1. Перевесит железный шар.
2. В воде на шары будет действовать выталкивающая сила, которая пропорциональна объёму шаров. Поскольку плотность железа больше плотности мрамора, то объём железного шара меньше, чем объём мраморного шара той же массы. Следовательно, на железный шар действует меньшая выталкивающая сила, и он давит на весы с большей силой, чем мраморный шар.
Задание 8.
1. Набольшую величину изменилась внутренняя энергия первого шарика.
2. Первый шарик, упав в рыхлую землю, остановился, и вся механическая энергия превратилась во внутреннюю энергию шарика и песка, следовательно, изменение внутренней энергии шарика равно его начальной механической энергии. Второй шарик отскочил и поднялся на некоторую высоту, следовательно, изменение его внутренней энергии равно разности начальной и конечной потенциальной энергии.
Задание 9.
1. Масса шарика уменьшится
2. При сообщении шарику положительного заряда уменьшится число находящихся на нем отрицательно заряженных электронов. Следовательно, масса шарика уменьшится на величину, равную массе покинувших его электронов.
Задание 10.
1. Железная печь нагреет комнату быстрее.
2. Железо обладает большей теплопроводностью и меньшей удельной теплоёмкостью, чем кирпич, поэтому железная печь быстрее нагревается и быстрее, чем кирпичная, отдает энергию окружающему воздуху.
Задание 11.
1. Из пластмассовой
2. Поскольку теплопроводность металла много больше теплопроводности пластмассы, кружка из пластмассы будет нагреваться гораздо медленнее и медленнее будет отдавать тепло губам. Из нее легче пить горячий чай.
Задание 12.
1. Медленнее всех движется та точка колеса, которая в данный момент соприкасается с землёй.
2. Точки колеса совершают два движения: вращение вокруг оси колеса и поступательное движение. Оба движения складываются, и для области колеса в месте соприкосновения с землёй дают в сумме скорость, равную нулю.
Задачи с развёрнутым ответом 25 и 26
Задача 1
|
Возможный вариант решения |
|
|
Дано:
|
|
|
Vпол - ? |
Ответ: 0,032 м3 |
Задача 2
|
Возможный вариант решения |
|
|
Дано:
|
|
|
m - ? |
Ответ: m = 1140 кг |
Задача 3
|
Возможный вариант решения |
|
|
Дано:
|
|
|
F - ? |
Ответ: F = 108 кН |
Задача 4
|
Возможный вариант решения |
|
|
Дано:
|
|
|
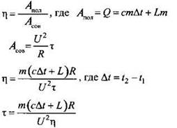
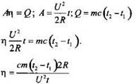
η - ? |
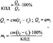
Ответ: η = 80% |
Задача 5
|
Возможный вариант решения |
|
|
Дано:
|
|
|
N - ? |
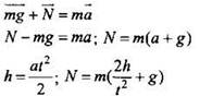
Ответ: N = 600 H |
Задача 6
|
Возможный вариант решения |
||
|
Дано: |
СИ |
|
|
|
0,29 кг |
|
|
m1- ? |
Ответ: 8 г |
|
Задача 7
|
Возможный вариант решения |
|
|
Дано:
|
|
|
T - ? |
Ответ: T = 1,2 H |
Задача 8
|
Возможный вариант решения |
|
|
Дано:
|
|
|
т - ? |
Ответ: т = 659 с ≈ 11 мин |
Задача 9
|
Возможный вариант решения |
|
|
Дано:
|
|
|
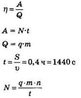
η - ? |
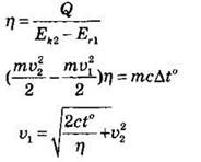
Ответ: ≈ 0,8 |
Задача 10
|
Возможный вариант решения |
|
|
Дано:
|
|
|
R2- ? |
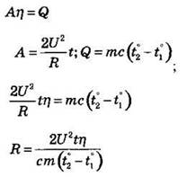
Ответ: R2 = 20 Ом |
Задача 11
|
Возможный вариант решения |
|
|
Дано:
|
|
|
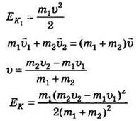
EK1- ? |
Ответ: EK1 = 0,2 Дж |
Задача 12
|
Возможный вариант решения |
|
|
Дано:
|
Закон сохранения энергии при нагревании воды при последовательном соединении двух спиралей:
|
|
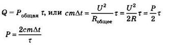
Р - ? |
Ответ: Р = 800 Вт |
ОТВЕТЫ К ЗАДАНИЯМ ВАРИАНТОВ 1-5
Задания с выбором ответа и с кратким ответом
|
№ вар |
Номер вопроса |
||||||||||||||||||||
|
1 |
2 |
3 |
4 |
5 |
6 |
7 |
8 |
9 |
10 |
11 |
12 |
13 |
14 |
15 |
16 |
17 |
18 |
19 |
20 |
21 |
|
|
1 |
324 |
3 |
3 |
1 |
3 |
14 |
0,3 |
1 |
25 |
72 |
2 |
1 |
1 |
2 |
12 |
7,5 |
1 |
4 |
25 |
3 |
2 |
|
2 |
453 |
3 |
3 |
4 |
2 |
12 |
80 |
2 |
24 |
1 |
2 |
1 |
4 |
3 |
21 |
8 |
2 |
4 |
34 |
3 |
2 |
|
3 |
214 |
4 |
2 |
4 |
4 |
23 |
200 |
2 |
34 |
42 |
2 |
2 |
2 |
3 |
21 |
6 |
1 |
4 |
34 |
4 |
1 |
|
4 |
214 |
3 |
3 |
2 |
2 |
15 |
40 |
4 |
24 |
510,4 |
4 |
3 |
1 |
4 |
13 |
3 |
2 |
2 |
25 |
1 |
3 |
|
5 |
123 |
3 |
4 |
2 |
3 |
45 |
200 |
3 |
12 |
175,5 |
4 |
4 |
2 |
1 |
21 |
10 |
1 |
1 |
13 |
1 |
2 |
Качественные задачи 22 и 24
|
№ вар |
Ответ |
|
|
22 |
24 |
|
|
1 |
1. Сверху вниз. 2. Согласно описанию, приведённому в тексте, верхняя часть облака содержит преимущественно мелкие частицы, имеющие избыточный положительный заряд. Внизу облака накапливаются крупные частицы, имеющие избыточный отрицательный заряд. За направление электрического тока принимается направление движения в электрическом поле, создаваемом ток, свободной положительно заряженной частицы. |
1. Выталкивающие силы одинаковы. 2. Выталкивающая сила, действующая на тело, плавающее в жидкости, уравновешивает силу тяжести. Поскольку в обеих жидкостях (в воде и керосине) бруски плавают, то выталкивающие силы, уравновешивающие одну и ту же силу тяжести, будут равны. |
|
2 |
1. Длина волны цунами при подходе к берегу уменьшается. 2. Скорость распространения волн цунами зависит от глубины. При подходе к берегу глубина уменьшается, следовательно, уменьшается скорость распространения волны. Поскольку длина волны прямо пропорциональна скорости распространения волны, то при ее уменьшении длина волны тоже уменьшается |
1. Деревянный шарик в сорокоградусную жару на ощупь кажется холоднее. 2. Теплопроводность металлического шарика больше теплопроводности деревянного. Теплоотвод от металлического шарика к более холодному пальцу происходит интенсивнее, это создаёт ощущение более горячего тела. |
|
3 |
1. Коэффициент поглощения для зеленого цвета близок к нулю, коэффициент отражения близок к единице. 2. Зеленый лист поглощает все цвета, кроме зеленого, и практически полностью отражает зеленый цвет |
1. Можно. 2. При выдвижении поршня из шприца под ним возникает разрежение. Поскольку внутри космического корабля поддерживается постоянное давление, возникает разность внешнего давления и давления внутри шприца. Под действием внешнего давления жидкость войдёт в шприц. |
|
4 |
1. Сплошной 2. Сплошной сердечник будет нагреваться больше, поскольку он имеет меньшее электрическое сопротивление, чем сердечник, набранный из тонких изолированных пластин. Соответственно, сила вихревого тока в нем будет больше |
1. Ответ: вода в кружке не закипит. 2. Объяснение: вода в кружке нагреется до температуры кипения (100 °С), получая тепло от более горячей воды в кастрюле. Далее вода в кастрюле закипит, получая непрерывный приток тепла от более нагретого тела (нагретого пламенем дна кастрюли). Вода в кружке кипеть не будет, так как не будет притока тепла, необходимого для парообразования, из-за отсутствия перепада температур. |
|
5 |
1. Кристаллизация остановится. 2. При появлении в растворе соли первых кристалликов льда, повысится концентрация раствора, молекулы соли будут мешать образованию кристаллов льда, соответственно понизится температура кристаллизации воды, и кристаллизация остановится. Для дальнейшей кристаллизации следует понизить температуру раствора и температура кристаллизации понизится |
1. На большую величину изменилась внутренняя энергия первого шарика. 2. Первый шарик, упав в песок, остановился, следовательно, изменение его внутренней энергии равно его начальной механической энергии, поскольку вся механическая энергия превратилась во внутреннюю энергию шарика и песка. Второй шарик отскочил и поднялся на некоторую высоту, следовательно, изменение его внутренней энергии равно разности его начальной и конечной потенциальной энергии. |
Экспериментальные задания 23
|
№ варианта |
Образец возможного выполнения |
|
1 |
1) Схема экспериментальной установки:
|
|
2 |
1) Схема экспериментальной установки (изображение удалённого источника света (окна) формируется практически в фокальной плоскости):
|
|
3 |
1) Схема экспериментальной установки:
|
|
4 |
1) Схема экспериментальной установки:
|
|
5 |
1) Схема экспериментальной установки:
|
Задачи с развёрнутый ответом 25 и 26
|
№ варианта |
Номер задания |
|
|
25 |
26 |
|
|
1 |
Ответ: EK = 0,6 Дж |
Ответ: т = 1200, с = 20 мин. |
|
2 |
Ответ: Q = 19,2 Дж |
Ответ: 60 °С |
|
3 |
Ответ: S = 0,24 мм2 |
Ответ: N = 46000 Вт |
|
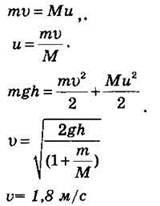
4 |
Ответ: v = 1,8 м/с |
Ответ: т = 659 с ≈ 11 мин |
|
5 |
Ответ: v = 400 м/с |
Ответ: R ≈ 10 Ом. |



































