Физика: Универсальный справочник
Напряженность электрического поля - Электростатика - ЭЛЕКТРОДИНАМИКА
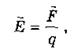
Напряженность электрического поля — векторная характеристика поля, сила, действующая на единичный покоящийся в данной системе отсчета электрический заряд.
Напряженность определяется по формуле:

где
— напряженность поля;
— сила, действующая на помещенный в данную точку поля заряд q. Направление вектора
совпадает с направлением силы, действующей на положительный заряд, и противоположно направлению силы, действующей на отрицательный заряд.
Единицей напряженности в СИ является вольт на метр (В/м).
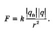
Напряженность поля точечного заряда. Согласно закону Кулона, точечный заряд q0 действует на другой заряд с силой, равной

Модуль напряженности поля точечного заряда q0 на расстоянии r от него равен:

Вектор напряженности в любой точке электрического поля направлен вдоль прямой, соединяющей эту точку и заряд (рис. 3.1).
