Физика: Универсальный справочник
Фотоны. Энергия и импульс фотона - Корпускулярно-волновой дуализм - ОСНОВЫ СПЕЦИАЛЬНОЙ ТЕОРИИ ОТНОСИТЕЛЬНОСТИ. КВАНТОВАЯ ФИЗИКА
Фотон (обозначение — ɣ) — элементарная частица, квант электромагнитного излучения.
При испускании и поглощении свет ведет себя подобно потоку частиц с энергией, зависящей от частоты v:
![]()
где h — постоянная Планка.
Эти свойства света были названы корпускулярными, а сама частица — фотоном.
Энергию фотона часто выражают через циклическую частоту ω= 2πv. При этом вместо h используют величину
(читается «аш с чертой»), равную
= h/2
. Тогда энергия фотона выражается так:
![]()
Согласно теории относительности, энергия связана с массой соотношением Е = mс2. Поскольку энергия фотона равна hv, то его релятивистская масса mр равна:

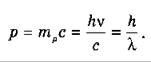
Фотон лишен массы покоя m, т. е. он не существует в состоянии покоя и при рождении сразу имеет скорость с. Масса, определяемая формулой (4.10), — это масса движущегося фотона. Зная массу и скорость фотона, определяют его импульс:

Импульс фотона направлен по световому лучу. Чем больше частота, тем больше энергия и импульс фотона и тем отчетливее выражены корпускулярные свойства света. Энергия фотонов зеленого света составляет 4 · 10 19 Дж. Тем не менее в своих замечательных опытах С. И. Вавилов установил, что человеческий глаз, этот тончайший из оптических приборов, чувствует освещенность, вызванную единицами квантов.