Физика: Универсальный справочник
Тренировочный тест к разделу 4 «Основы специальной теории относительности. Квантовая физика» - ОСНОВЫ СПЕЦИАЛЬНОЙ ТЕОРИИ ОТНОСИТЕЛЬНОСТИ. КВАНТОВАЯ ФИЗИКА
Тренировочный тест к разделу 4
«Основы специальной теории относительности. Квантовая физика»
Часть 1
При выполнении заданий этой части нужно поставить знак «х» в клеточку, номер которой соответствует номеру выбранного варианта ответа.
A1 |
1 |
2 |
3 |
4 |
А1. Энергия излучения с длиной волны 1 мкм составляет 10-7 Дж. Число фотонов в излучении равно
1) 5 · 1011 3) 3 · 109
2) 1 · 1010 4) 8 · 1011
A2 |
1 |
2 |
3 |
4 |
А2.Минимальная энергия ɣ-кванта, необходимая для осуществления реакции
составляет
1) 5,1 МэВ 3) 151 МэВ
2) 2,2 МэВ 4) 3,2 МэВ
A3 |
1 |
2 |
3 |
4 |
АЗ. Зная величину задерживающего напряжения U3 = 7,9 В и длину волны света λ = 0,1 мкм, вырывающего электроны, определите работу выхода из металла.
1) 5,5 эВ 3) 4,5 эВ
2) 3 эВ 4) 1,5 эВ
A4 |
1 |
2 |
3 |
4 |
А4. Работа выхода электронов для натрия равна 2,27 эВ. Следовательно, красная граница фотоэффекта для натрия составляет
1) 450 нм 3) 600 нм
2) 180 нм 4) 560 нм
A5 |
1 |
2 |
3 |
4 |
А5.Напряжение, под которым должна работать рентгеновская трубка, чтобы минимальная длина волны излучения равнялась 1 нм, составляет
1) 2,5 кВ 3) 1,2 кВ
2) 5,8 кВ 4) 1,7 кВ
A6 |
1 |
2 |
3 |
4 |
А6.Скорость, с которой должен двигаться электрон, чтобы количество его движения равнялось количеству движения фотона с λ = 520 нм
1) 1400 м/с 3) 180 м/с
2) 2500 м/с 4) 800 м/с
A7 |
1 |
2 |
3 |
4 |
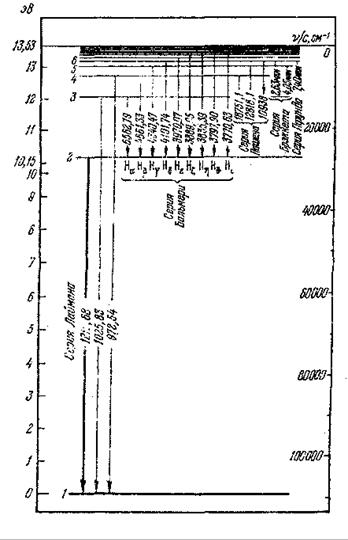
А7. Наименьшая энергия, которую должны иметь электроны, чтобы при соударении с атомом водорода вызвать свечение всех линий всех серий атома водорода, составляет (см. рисунок к А8)
1)15 эВ 3) 17,1 эВ
2)13,6 эВ 4) 11 эВ
A8 |
1 |
2 |
3 |
4 |
A8. В каких пределах должна лежать энергия электронов Е при бомбардировке ими атомов водорода, чтобы в спектре последнего (см. рисунок) появилась только одна линия излучения и какова длина волны этой линии?


A9 |
1 |
2 |
3 |
4 |
А9. В каких пределах должны лежать длины волн монохроматического света, чтобы при возбуждении атома водорода (см. рисунок к А8) квантами этого света наблюдались три спектральные линии?

A10 |
1 |
2 |
3 |
4 |
А10. Электрон, пройдя разность потенциалов 4,9 В, сталкивается с атомом ртути и переводит его в первое возбужденное состояние. Длина волны фотона, соответствующая переходу атома ртути в нормальное состояние, равна
1) 150 нм 2) 313 нм 3) 405 нм 4) 254 нм
A11 |
1 |
2 |
3 |
4 |
А11. Сколько квантов различных энергий могут испустить атомы водорода, электроны которых находятся на третьей орбите?
1)3 2) 1 3) 2 4) 4
A12 |
1 |
2 |
3 |
4 |
A12. При электрическом разряде в трубке, наполненной )
, излучаются световые кванты, соответствующие разности энергий двух состояний атома Е2 - Et = 3,278 • 10-19Дж. Каковы цвет и длина волны этого излучения? (Длина волны этого излучения с 1960 по 1983 гг. была эталоном длины, принятым во всем мире).
1) ≈ 580,1 нм, желтый
2) ≈ 650,3 ни, красный
3) ≈ 605,8 нм, оранжевый
4) ≈ 550,5 нм, зеленый
A13 |
1 |
2 |
3 |
4 |
А13. Лазер мощностью 20 Вт испускает 1020 фотонов в секунду. Длина волны излучения этого лазера равна
1) ≈ 3 мкм
2) ≈ 5 мкм
3) ≈ 1 мкм
4) ≈ 2,5 мкм
A14 |
1 |
2 |
3 |
4 |
А14. Какое свойство лазерного излучения позволило произвести локацию ряда планет, таких, как Венера, Марс, Юпитер?
1) большая мощность излучения
2) когерентность излучения
3) монохроматичность излучения
4) очень малая расходимость пучка
A15 |
1 |
2 |
3 |
4 |
А15. Какое свойство лазерного излучения позволяет делать отверстия в сверхтвердых металлах и алмазах?
1) большая мощность излучения
2) когерентность излучения
3) монохроматичность излучения
4) очень малая расходимость пучка
A16 |
1 |
2 |
3 |
4 |
А16. Регистрирующее устройство счетчика Гейгера (см. рисунок) — вольтметр — показывает 20 В. Сколько пар одновалентных ионов образовалось в счетчике, если емкость его равна 24 пФ?
2) 7 · 109
3) 9 · 1011
4) 1 · 109
A17 |
1 |
2 |
3 |
4 |
A17. На рисунке показан трек частицы в камере Вильсона, помещенной в магнитное поле (
перпендикулярно плоскости чертежа и направлено от читателя). Частица прошла через слой свинца АВ. Каков знак заряда частицы? Как двигалась частица: сверху вниз или снизу вверх?

1) положительный, снизу вверх 3) положительный, сверху вниз
2) отрицательный, сверху вниз 4) отрицательный, снизу вверх
A18 |
1 |
2 |
3 |
4 |
А18. Какого вида излучение регистрирует счетчик Гейгера, если радиоактивный препарат установлен на расстоянии 10 см от счетчика?
1) α-частицы 3) β- и ɣ-излучение
2) все виды излучения 4) α- и β-частицы
A19 |
1 |
2 |
3 |
4 |
А19. Если из ядра выбрасывается протон, то массовое число М и порядковый номер элемента Z изменяются следующим образом:
1) М увеличивается на 1, Z не изменяется
2) М уменьшается на 1, Z уменьшается на 1
3) М не изменяется, Z уменьшается на 1
4) не изменяются
A20 |
1 |
2 |
3 |
4 |
А20. Доля радиоактивного изотопа, распавшегося за время его жизни, составляет
1) 50,2% 2) 45,3% 3) 71,5% 4) 63,2%
A21 |
1 |
2 |
3 |
4 |
А21. Радиоактивный изотоп технеция 43Тс95, не обнаруженный в природе, был получен искусственно в результате реакции:
, в которой вместо «?» следует вставить
![]()
A22 |
1 |
2 |
3 |
4 |
А22. В результате бомбардировки бора
быстрыми протонами
в камере Вильсона получены три почти одинаковых следа частиц. Это
1) ядра дейтерия 1Н2
2) ядра водорода 1H1
3) ядра гелия 2Не4
4) нейтроны 0n1
A23 |
1 |
2 |
3 |
4 |
А23. Какая из частиц: α или β сильнее отклоняется магнитным полем? Сравните радиусы кривизны Rα и Rβa при скоростях vβ = 15vn в поле с
.

A24 |
1 |
2 |
3 |
4 |
A24. Укажите длину волны де Бройля для электрона, движущегося по первой боровской орбите r1 = 0,53 ·• 10 -10 м в атоме водорода
1) λБ = 0,55 нм
2) λБ = 0,73 нм
3) λБ = 0,33 нм
4) λБ = 0,91 нм
A25 |
1 |
2 |
3 |
4 |
А25. Вычислите длину волны де Бройля протона, энергия которого равна 10 -18 Дж

Часть 2
Ответом к заданиям В1— ВЗ будет некоторое число. Это число нужно записать без указания единиц измерения физических величин.
B1 |
В1. В опыте Столетова заряженная отрицательно цинковая пластинка облучалась светом вольтовой дуги. До какого максимального отрицательного потенциала зарядится цинковая пластинка, если она будет облучаться монохроматическим светом длиной волны 324 нм (ближний ультрафиолетовый свет)?
B2 |
В2. Квант света с энергией 14,5 эВ выбивает фотоэлектрон из атома водорода. Какова скорость электрона вдали от атома?
B3 |
ВЗ. На дифракционную решетку нормально падает пучок света от разрядной трубки, наполненной атомарным водородом. Постоянная решетки равна 5 · 10-4 см. Переходу электрона между какими уровнями (n → k)соответствует спектральная линия, наблюдаемая при помощи этой решетки в спектре пятого порядка под углом 41°?
В заданиях В4—В5 на установление соответствия требуется указать последовательность цифр, соответствующих правильному ответу.
В4. Установите соответствие между частицей и формулой для вычисления длины волны де Бройля частицы А по ее энергии Е.
A) Квант света
Б) Классическая частица, движущаяся со скоростью v ˂˂ с
B) Релятивистская частица, движущаяся со скоростью, близкой к скорости света
![]()
![]()
![]()
Впишите во вторую строку таблицы номера правильных ответов.
А |
Б |
В |
B5. Установите соответствие между типом взрыва (левый столбец) и условиями, ограничивающими его мощность (правый столбец).
А) Атомный взрыв 1) запасы сырья
Б) Термоядерный взрыв 2) нет таких условий
3)критическая масса отдельных кусков горючего
Впишите во вторую строку таблицы номера правильных ответов.
А |
Б |
Часть 3
Полное правильное решение каждой задачи С1-С6 должно включать законы и формулы, применение которых необходимо и достаточно для решения задачи, а также математические преобразования, расчеты с численным ответом и, при необходимости, рисунок, поясняющий решение.
С1. Пользуясь приведенным на рисунке экспериментальным графиком зависимости задерживающего напряжения Us от частоты падающего света v (опыты Милликена, 1916 г., подтвердившие теоретическое уравнение Эйнштейна для фотоэффекта), рассчитайте постоянную Планка h, работу выхода А и красную границу фотоэффекта v0 и λ0 для исследуемого металла.

С2. Электроны, падающие на алюминиевую фольгу, дают дифракционную картину, причем угловое отклонение спектра первого порядка φ = 1°. Постоянная решетки алюминия α = 4,05 А. Какова скорость электронов?
СЗ. Какова должна быть скорость v микрочастицы массой m (например, электрона, нейтрона, протона), чтобы при рассеянии на монокристалле с постоянной решетки α наблюдалась четкая дифракционная картина?
С4. При какой температуре кинетическая энергия молекулы двухатомного газа равна энергии фотона с длиной волны λ = 5,89 • 10-4 мм?
С5. α-частица движется по окружности радиусом 0,83 см в однородном магнитном поле, индукция которого 0,025 Тл. Найдите длину волны де Бройля для этой α-частицы.