Физика: Универсальный справочник
Примеры заданий ЕГЭ по теме 1.2. «Динамика» - Основы динамики - МЕХАНИКА
При выполнении заданий уровня А нужно поставить знак «х» в клеточку, номер которой соответствует номеру выбранного варианта ответа.
A1 |
1 |
2 |
3 |
4 |
А1. Деревянный брусок лежит неподвижно на наклонной плоскости, не соскальзывая вниз, благодаря
1) силе тяжести
2) силе трения
3) силе упругости
4) силе межмолекулярного взаимодействия
A2 |
1 |
2 |
3 |
4 |
А2. На тело, покоящееся в инерциальной системе отсчета, кратковременно подействовали силой, придав ему некоторую скорость. Как будет меняться скорость тела со временем относительно той же системы отсчета, если в дальнейшем на него не будут действовать никакие силы
1) скорость будет увеличиваться
2) скорость будет уменьшаться
3) скорость не будет меняться со временем
4) скорость сначала увеличится, затем начнет уменьшаться
A3 |
1 |
2 |
3 |
4 |
АЗ. К материальной точке, изображенной на рисунке, приложены две силы. Под действием этих сил точка будет двигаться

1) вправо 2) влево 3) вверх 4) вниз
A4 |
1 |
2 |
3 |
4 |
А4. Тело массой 80 кг лежит на подставке. При этом сила давления (в СИ) подставки на тело приблизительно составляет
1) 0 2) 80 3) 40 4) 800
A5 |
1 |
2 |
3 |
4 |
А5. При движении тела в поле тяжести Земли состояние невесомости наступит при таком значении ускорения

A6 |
1 |
2 |
3 |
4 |
А6. Пружину растянули на 5 см. Жесткость пружины 0,1 Н/м. Сила упругости, возникшая при этом, равна
1) - 0,005 Н 2) 0,05 Н 3) 1 Н 4) 0,1 Н
A7 |
1 |
2 |
3 |
4 |
А7. Сила давления F приложена к площади S. Если силу F уменьшить в 4 раза, то как надо изменить S, чтобы давление р увеличилось в 8 раз
1) увеличить в 8 раз
2) уменьшить в 3 раза
3) увеличить в 2 раза
4) уменьшить в 32 раза
Часть 2
Ответом к заданиям В1—ВЗ будет некоторое число. Это число нужно записать без указания единиц измерения физических величин.
B1 |
В1. К материальной точке массой 5 кг приложена сила 2 Н. С каким ускорением движется точка?
B2 |
В2. Ускорение свободного падения на Юпитере в 2,55 раз больше, чем на Земле, а масса Юпитера в 318 раз больше массы Земли. Определите радиус Юпитера (в км).
B2 |
ВЗ. Тело выпустили из рук на высоте 10 м от земли. Какова скорость тела в момент соприкосновения с землей (сопротивлением воздуха пренебречь)?
В задании В4 на установление соответствия требуется указать последовательность цифр, соответствующих правильному ответу.
B4 |
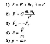
В4. Установите соответствие между названием закона, принципа и т. д. (левый столбец) и его математическим выражением (правый столбец).
A) Закон всемирного тяготения
Б) Принцип относительности Галилея
B) Второй закон Ньютона
Г) Третий закон Ньютона

Впишите во вторую строку таблицы номера правильных ответов.
А |
Б |
В |
Г |
Часть 3
Полное правильное решение задачи С1 должно включать законы и формулы, применение которых необходимо и достаточно для решения задачи, а также математические преобразования, расчеты с численным ответом и, при необходимости, рисунок, поясняющий решение.
С1. Тело массой m движется по наклонной плоскости с углом наклона α с постоянной скоростью. Чему равен коэффициент трения скольжения µ?