Физика: Универсальный справочник
Столкновение тел. Упругий и неупругий удары - Законы сохранения в механике - МЕХАНИКА
Законы сохранения импульса и механической энергии применяются для решения задачи о движении тел после столкновения: по известным импульсам и энергиям до столкновения определяются значения этих величин после столкновения. Рассмотрим случаи упругого и неупругого ударов.
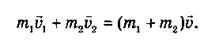
Абсолютно неупругим называется удар, после которого тела образуют единое тело, движущееся с определенной скоростью. Задача о скорости последнего решается с помощью закона сохранения импульса системы тел m1 и m2 (если речь идет о двух телах) до и после удара:
![]()
Очевидно, что кинетическая энергия тел при неупругом ударе не сохраняется (например при
1 = -
2 и m1 = m2 она становится равной нулю после удара).
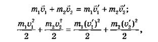
Абсолютно упругим называется удар, при котором сохраняется не только сумма импульсов, но и сумма кинетических энергий ударяющихся тел.
Для абсолютно упругого удара справедливы уравнения

где m1, m2— массы шаров,
1,
2 — скорости шаров до удара,
— скорости шаров после удара.