Мировое хозяйство и международная торговля - ЭКОНОМИКА

Обществознание 8 класс - Поурочные разработки к учебнику Л. Н. Боголюбова - 2017 год

Мировое хозяйство и международная торговля - ЭКОНОМИКА

Цели и задачи: познакомить со структурой мирового хозяйства; с особенностями внешней торговли и факторами, влияющими на этот процесс в современном мире.

Планируемые результаты: предметные: применять понятийный аппарат обществоведческих знаний для раскрытия понятий внешняя торговля, международное разделение труда, протекционизм, фритредерство, обменный валютный курс, описывать связи между участниками международных экономических отношений; характеризовать причины формирования мирового хозяйства, механизм формирования валютного курса; выделять основные направления внешнеторговой политики государства; метапредметные УУД — 1) коммуникативные: приобретать опыт регуляции речевого поведения как основы коммуникативной компетентности; самостоятельно обнаруживать и формулировать учебную проблему; выдвигать версии решения проблемы; обмениваться знаниями между членами группы для принятия эффективных совместных решений; участвовать в дискуссии, аргументировать собственную точку зрения, точно и грамотно выражать свои мысли; задавать вопросы, необходимые для организации собственной деятельности; 2) регулятивные: формировать целевые установки учебной деятельности; выстраивать алгоритм действий; соотносить свои действия с планируемыми результатами, осуществлять контроль своей деятельности в процессе достижения результата; оценивать правильность решения учебной задачи; корректировать свои действия в соответствии с изменяющейся ситуацией; 3) познавательные: осуществлять анализ объектов с выделением существенных и несущественных признаков; извлекать информацию из мнений других людей; привлекать ранее изученный материал для решения познавательных задач; ставить репродуктивные вопросы по изученному материалу; давать определения понятий; устанавливать аналогии; личностные УУД: формирование и развитие познавательного интереса к экономической сфере жизни общества, навыков рационального экономического поведения; развитие творческих способностей через активные формы деятельности.

Оборудование: учебник, пакет с рабочим материалом для работы в группах, проектор, мультимедийная презентация.

Тип урока: урок открытия нового знания.

Ход урока

I. Организационный момент

II. Актуализация опорных знаний

Проверим, насколько хорошо вы усвоили изученный материал.

1. Из двух суждений: а) безработица ведет к совокупному сокращению потребительского спроса в стране; б) если уровень безработицы уменьшается, то это всегда означает, что большее количество трудоспособных имеет работу.

1) верно только а

2) верно только б

3) оба суждения верны

4) оба суждения неверны

2. Из двух суждений: а) основной причиной фрикционной безработицы выступает несовершенство информации; б) к росту структурной безработицы приводят изменения в технологии производства.

1) верно только а

2) верно только б

3) оба суждения верны

4) оба суждения неверны

3. Под полной занятостью в экономической теории принято понимать ситуацию, когда отсутствует безработица:

1) циклическая

2) фрикционная

3) структурная

4) сезонная

4. Уровень безработицы рассчитывается как процентное отношение количества:

1) неработающих к числу работающих

2) неработающих к численности рабочей силы

3) безработных к численности трудоспособного населения

4) безработных к численности рабочей силы

5. Экономически активное население — это:

1) безработные, ищущие работу

2) пенсионеры

3) работающие по найму

4) молодые люди в возрасте от 14 до 16 лет

6. Фрикционная безработица возникает в случае:

1) низкой мобильности населения

2) отсутствия рынка труда

3) демографического спада

4) появления одних профессий и исчезновения других

7. Структурная безработица возникает в случае:

1) экономического спада

2) диспропорции спроса и предложения на рынке труда

3) перемены места жительства работников

4) несовершенства трудового законодательства

8. Циклическая безработица возникает в случае:

1) кризиса на товарных рынках страны

2) перемены места жительства работников

3) сезонного характера деятельности

4) несовершенства трудового законодательства

9. Из двух суждений: а) к условиям, способным повлиять на снижение уровня безработицы, можно отнеси увеличение пособий по безработице; б) к условиям, способным повлиять на снижения уровня безработицы, можно отнести уменьшение размера налогов:

1) верно только а

2) верно только б

3) оба суждения верны

4) оба суждения неверны

10. Граждане страны И долгое время не могут найти работу по специальности, поскольку изменился спрос на рабочую силу: много профессий устарело и они стали невостребованными. Длительная безработица чередуется с краткими периодами временной, случайной работы. Виды безработицы в стране И:

1) сезонная

2) скрытая

3) застойная

4) структурная

5) фрикционная

6) открытая

(Проверка выполнения заданий.)

III. Введение в новый материал

— Ответьте на вопросы рубрики «Вспомним» на с. 233 учебника. (Ответы учеников.)

Тема урока «Мировое хозяйство и международная торговля».

— Как вы думаете, о чем мы будем говорить?

— На какие вопросы нам предстоит ответить?

(Ученики высказывают свои предположения.)

План урока

1. Мировое хозяйство.

2. Внешняя торговля.

3. Внешнеторговая политика.

4. Обменные курсы валют.

Проблемные вопросы

— Как международная торговля помогает развитию мирового хозяйства?

— Какие выгоды получают страны от участия в мировом разделении труда?

— Какие условия влияют на обменный курс валют?

IV. Работа по теме урока

1. Мировое хозяйство

При переходе к индустриальному обществу на смену изолированному хозяйству отдельных стран приходит мировое хозяйство. До настоящего времени не существует единого определения понятия «мировая экономика» в силу его сложности и многоплановости. Мировая экономика — это:

1) совокупность национальных хозяйств, связанных политическими и экономическими отношениями;

2) система международных экономических отношений, связывающая национальные экономики;

3) система, объединяющая экономику, правовые нормы, регулирующие эти отношения.

Мировое хозяйство представляет собой закономерно развивающуюся и усложняющуюся систему взаимодействия национальных экономик различных стран мира, которая проявляется в разнообразных формах их международных экономических отношений на основе международного разделения труда.

Современное мировое хозяйство неоднородно, так как входящие в него государства различаются социальной структурой, политическим устройством, уровнем развития производительных сил и производственных отношений, а также характером, масштабами и методами международных отношений.

Ведущее положение в мировом хозяйстве среди промышленно развитых стран занимают США, Япония, Канада, Германия, Франция, Великобритания и Италия. На их долю приходится более 80% промышленного производства группы промышленно развитых стран и около 60% всего мирового промышленного производства; 70 и 60% производства электроэнергии соответственно, более 60% экспорта товаров и около 50% услуг.

— Что лежит в основе объединения национальных хозяйств в единое мировое хозяйство?

(Ответы учеников.)

Мы выяснили, что в основе объединения национальных хозяйств в единое мировое хозяйство лежит международное разделение труда.

Запись в тетради

Международное разделение труда — специализация отдельных стран на производстве определенных видов продукции (предоставлении услуг), которыми страны могут обмениваться между собой.

Международное разделение труда осуществляется по отраслям и сферам экономики. Например, заниматься сельским хозяйством и производством продовольствия выгодно там, где для этого имеются природные условия. Существует специализация на производстве отдельных видов готовой продукции и услуг. Возможна специализация и на производстве отдельных компонентов или узлов продукции.

2. Внешняя торговля

— Вспомните, когда появилась внешняя торговля. Приведите примеры.

(Проверка выполнения задания.)

Из курса всемирной истории вы знаете, что одной из причин географических открытий стало то, что торговля с Востоком оказалась под контролем Османской империи. Таким образом, европейцы были вынуждены искать новые торговые пути и новых партнеров для внешней торговли.

— Работая в парах с п. 2 § 28 учебника, определите причины, которые вызвали к жизни внешнюю торговлю, и проиллюстрируйте их примерами.

(Проверка выполнения задания.)

Международная торговля тесно взаимосвязана с международным разделением труда. Эту взаимосвязь можно представить с помощью закона относительных преимуществ английского экономиста Д. Рикардо. Он заключается в том, что если страны специализируются на производстве тех товаров, которые они могут производить с относительно более низкими издержками в сравнении с другими странами, то торговля будет взаимовыгодной для обеих стран независимо от того, имеют они или нет абсолютное преимущество в производстве этих товаров.

Рассмотрим следующий пример. Допустим, что производство 25 м сукна в Англии требует труда 100 рабочих в течение года. На данное количество сукна Англия приобретает 50 л португальского вина, для собственного производства которого потребовался бы труд 120 рабочих в течение года. Поэтому Англия найдет более выгодным ввозить вино и покупать его посредством вывоза сукна. На производство тех же количеств сукна и вина в Португалии затрачивается труд соответственно 90 и 80 человек в течение года. Поэтому Португалии выгодно ввозить сукно в обмен на вино.

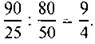
Поясним этот тезис расчетом. Абсолютные издержки в Англии выше, чем в Португалии, и по сукну, и по вину. Однако сравнительные издержки в Португалии по сукну больше, чем в Англии. Они определяются отношением абсолютных издержек на производство единицы сукна к абсолютным издержкам на производство единицы вина. В Португалии они составляют: В Англии же сравнительные издержки по сукну относительно меньшие и составляют: Следовательно, Англии выгодно экспортировать сукно в Португалию, закупая там вино.

Отказ Португалии от производства сукна ей выгоден, хотя оно дешевле, чем в Англии. В соответствии с пропорциями обмена между двумя странами, предусмотренными в рассматриваемом примере, на собственное производство 25 м сукна, закупленного в Англии, Португалии пришлось бы затратить труд 90 человек в течение года, в то время как на производство вина, экспортированного в Англию взамен ввезенного сукна, Португалии потребовался бы труд всего 80 человек в течение года.

Таким образом, необходимым условием существования международной торговли выступает производство в различных странах одних и тех же товаров с различными издержками. Каждой стране целесообразно, согласно взглядам Д. Рикардо, специализироваться на производстве таких товаров, по которым она имеет сравнительно более низкие затраты труда и капитала.

3. Внешнеторговая политика

Государства — участники внешнеторговых операций стремятся тем или иным способом воздействовать на международную торговля. Важным вопросом является выбор государствами определенного вида политики международной торговли (протекционизм или фритредерство).

Протекционизм — это политика защиты внутреннего рынка от иностранной конкуренции через систему определенных ограничений. С одной стороны, такая политика способствует развитию национального производства. С другой — может привести к усилению монополий, застою и снижению конкурентоспособности экономики. Политика протекционизма осуществляется путем урегулирования таможенных и налоговых барьеров, снижая конкуренцию других стран по сравнению с товарами национального производства. Данная политика была характерна для России в XIX—XX вв. Государство было вынужденно облагать большими налогами и таможенными пошлинами товары иностранного производства, тем самым давая возможность развиваться национальной промышленности.

Теория протекционизма утверждает, что наибольший эффект достигается:

1) при единообразии применения импортных и экспортных пошлин, субсидий и налогов по отношению ко всем субъектам, без каких-либо исключений;

2) при повышении размеров пошлин и субсидий по мере увеличения глубины переработки и при полной отмене пошлин на импортируемое сырье;

3) при сплошном обложении импортными пошлинами всех товаров и изделий, либо уже производимых в стране, либо тех, производство которых в принципе имеет смысл развивать (как правило, в размере не менее 25—30%, но и не на уровне, который является запретительным для любого конкурирующего импорта);

4) при отказе от таможенного обложения импорта товаров, производство которых невозможно или нецелесообразно (например, бананов на севере Европы).

Фритредерство — это политика, в рамках осуществления которой государство должно воздерживаться от вмешательства в сферу внешней торговли. Благодаря такому поведению в стране происходит развитие международной торговли под влиянием спроса и предложения.

Движение сторонников фритрейдерства зародилось в Великобритании в XVIII в. и было связано с промышленным переворотом. Однако требование введения системы свободной торговли еще раньше высказывалось многими экономистами, которые представляли эту политику как идеальную, всегда выгодную всем странам и народам.

При всех положительных сторонах свободной торговли население страны может предпочесть отечественным товарам импортные аналоги более высокого качества. Производители будут сокращать свое производство с последующим увольнением работников, что приведет к снижению налоговых поступлений в государственный бюджет. Также существует вероятность возрастания зависимости государства от товаров зарубежного производства, цены на которые повысятся, и большая часть населения их уже не сможет покупать. Лучший результат реализации фритредерства — это стимулирование производителей на улучшение своей продукции с одновременным уменьшением издержек.

Представьте, что мы с вами оказались на заседании дискуссионного клуба. Одни участники дискуссии утверждают, что необходимо проводить политику протекционизма, а другие придерживаются противоположной позиции.

— Разделитесь на две группы. Работая с п. 3 § 28 учебника и интернет-ресурсами, подберите аргументы в защиту той или иной позиции.

(Презентация результатов работы групп, возможно проведение мини-дискуссии.)

Аргументы в защиту протекционизма:

1) благодаря самообеспеченности экономики по основным отраслям не возникает продовольственной и ресурсной зависимости от других государств;

2) сохраняются рабочие места (с последующим их увеличением);

3) поддерживается внутренний спрос на продукцию национальных производителей, а не на их зарубежные аналоги;

3) обеспечивается экономическая стабильность, на которую не влияют различные экономические колебания в мировом хозяйстве;

4) создаются благоприятные условия для совершенствования некоторых отраслей за счет прибыли, которая может быть получена благодаря росту цен при введении таможенных пошлин.

Аргументы в защиту фритредерства:

1) усиливается конкуренция на внутреннем рынке государств за счет привлечения внешних поставщиков, что существенно ограничивает монополию местных производителей;

2) происходит стимулирование экономической активности национальных производителей, которые вынуждены бороться с зарубежными конкурентами за покупателей;

3) расширяется выбор для покупателей, у которых появляется возможность сопоставить цену и качество зарубежной и отечественной продукции.

(Подведение итогов работы по данному вопросу.)

4. Обменные курсы валют

— Работая с п. 4 § 28 учебника, дайте определение понятий «валюта», «валютный курс», «обменный курс валют», «фиксированный курс валют» и «биржевой курс валют». Проиллюстрируйте их конкретными примерами.

(Проверка выполнения задания.)

— Изучив материал рубрики «Ситуация» на с. 238, 239 учебника, определите, как происходит процесс формирования обменного курса валют.

(Проверка выполнения задания.)

Вывод. На процесс формирования курса валют влияют:

1) спрос на конкретный курс валюты и предложение на него;

2) ситуация на внутреннем рынке страны;

3) внешние экономические факторы.

V. Подведение итогов урока

Проверим, насколько хорошо вы усвоили новый материал.

— Ответьте на вопросы рубрики «Проверим себя» на с. 239 учебника.

(Проверка выполнения заданий.)

Домашнее задание

Повторить § 17—28 учебника.