Геометрия 8 класс - Технологические карты уроков по учебнику Л. С. Атанасяна - 2015
РЕШЕНИЕ ЗАДАЧ НА ПРИМЕНЕНИЕ ТЕОРЕМЫ ПИФАГОРА - ПЛОЩАДЬ
|
Цель деятельности учителя |
Создать условия для совершенствования навыков решения задач на применение теоремы Пифагора и теоремы, обратной теореме Пифагора |
||
|
Термины и понятия |
Прямоугольный треугольник, катеты, гипотенуза |
||
|
Планируемые результаты |
|||
|
Предметные умения |
Универсальные учебные действия |
||
|
Умеют применять изученные понятия, методы для решения задач |
Познавательные: осуществляют логические действия; формулируют ответы на вопросы. Регулятивные: умеют самостоятельно планировать альтернативные пути достижения целей, осознанно выбирать наиболее эффективные способы решения учебных задач, адекватно оценивать правильность или ошибочность выполнения учебной задачи, ее объективную трудность и собственные возможности ее решения. Коммуникативные: учитывают разные мнения и стремятся к координации различных позиций в сотрудничестве. Личностные: имеют целостное мировоззрение, соответствующее современному уровню развития науки и общественной практики. |
||
|
Организация пространства |
|||
|
Формы работы |
Фронтальная (Ф); индивидуальная (И) |
||
|
Образовательные ресурсы |
• Учебник. • Задания для индивидуальной работы |
||
|
I этап. Актуализация опорных знаний |
|||
|
Цель деятельности |
Задания для самостоятельной работы |
||
|
Проверить уровень сформированности знаний по теме |
(Ф) 1. Теоретический опрос. - Сформулировать теорему Пифагора. - Сформулировать теорему, обратную теореме Пифагора. (И) 2. Самостоятельное решение задач по готовым чертежам. Решение с последующей проверкой и обсуждением (при необходимости) (количество предложенных задач можно изменить). 1. ABCD - параллелограмм. Найти: CD.
2. DE || АС. Найти: АС.
3. ABCD - трапеция. Найти: CF.
4. Найти: BD.
5. ABCD - квадрат. Найти: АО.
6. Найти: DC; АС; АВ.
7. Найти: BD.
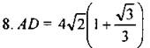
8. ABCD - параллелограмм. Найти: AD.
Ответы:
|
||
|
II этап. Решение задач |
|||
|
Цель деятельности |
Деятельность учителя |
Деятельность учащихся |
|
|
Рассмотреть способы и методы решения задач повышенной сложности |
(Ф) 1. Решить № 517, 496, 497, 489 на доске и в тетрадях |
№ 496.
Дано: ∆АВС CD ⊥ AB, AD = BC, AB = 3, CD = √3 Найти: АС. Решение: 1) Примем ВС = AD = х, следовательно, в ∆DBC: ВС2 = DC2 + DB2. х2 = (√3)2 + (3 - x)2; х2 = 3 + 9 – 6x + x2; 6x = 12; x = 2; BС = AD = 2 см. 2) В ∆АОС: АС2 = АD2 + ОС2; АС2 = 4 + 3 = 7; АС = √7. Ответ: √7. № 517.
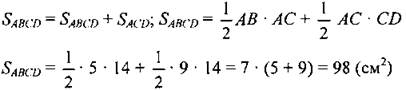
Дано: ABCD - четырехугольник АВ = 5 см, ВС = 13 см, CD = 9 см, DA = 15 см, АС = 12 см. Найти: SABCD. Решение: АВ2 = 25, ВС2 = 169, следовательно, 169 - 25 = 144 = AС2 CD2 = 81, AD2 = 225, следовательно, 225 - 81 = 144 = АС2, значит ∆АВС и ∆АСD - прямоугольные с общей стороной АС = 12 см.
Ответ: 98 см2. № 497.
Дано: ABCD - параллелограмм, ВО ⊥ AD, РABCD = 50 см, AD - AB = 1 см. Найти: BD. Решение: 1) Примем АВ = х см, следовательно, AD = (x + 1) см. Так как PABCD = 2(АВ + AD), то 50 = 2 ∙ (х + х + 1); 25 = 2х + 1; 2х = 24; x = 12. АВ = 12, AD = 13. 2) В ∆ABD: BD2 = АВ2- AD2; BD2 = 132 - 122; BD2 = 25, следовательно, BD = 5. Ответ: 5 см. № 489.
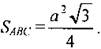
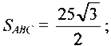
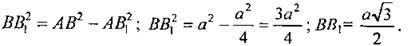
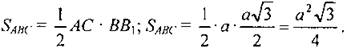
Дано: ABC - равносторонний, АВ = а. Доказать: Доказательство: 1) Рассмотрим ∆ABB1: 2) а) если а = 5, то б) если а = 1,2, то SABC = 0,36√3; в) если а = 2√2, то SABC = 2√3 |
|
|
III этап. Самостоятельная работа |
|||
|
Цель деятельности |
Задания для самостоятельной работы |
||
|
Закрепить полученные знания |
(И) При наличии времени можно предложить проверочную работу, которая сдается учителю. Вариант I В прямоугольной трапеции основания равны 22 см и 6 см, большая боковая сторона - 20 см. Найдите площадь трапеции. Вариант II В прямоугольной трапеции боковые стороны равны 7 см и 25 см, а меньшее основание равно 2 см. Найдите площадь трапеции. Вариант III (для более подготовленных учащихся) Диагональ АС прямоугольной трапеции ABCD перпендикулярна боковой стороне CD и составляет угол 60° с основанием AD. Найдите площадь трапеции, если AD = 24 см |
||
|
IV этап. Итоги урока. Рефлексия |
|||
|
Деятельность учителя |
Деятельность учащихся |
||
|
(Ф/И) - Оцените свою работу на уроке. - Какой этап урока вам показался наиболее сложным? Почему? |
(И) Домашнее задание: № 490,491; рассмотреть самостоятельно решение № 524 (вывод формулы Герона) (по желанию) |
||













