Геометрия 8 класс - Технологические карты уроков по учебнику Л. С. Атанасяна - 2015
РЕШЕНИЕ ЗАДАЧ НА ПРИМЕНЕНИЕ ТЕОРЕМЫ ПИФАГОРА. ФОРМУЛА ГЕРОНА - ПЛОЩАДЬ
|
Цель деятельности учителя |
Создать условия для совершенствования навыков решения задач по теме “Площадь”, для ознакомления учащихся с формулой Герона; показать применение формулы Герона в процессе решения задач |
||
|
Термины и понятия |
Прямоугольный треугольник, катеты, гипотенуза, формула Герона |
||
|
Планируемые результаты |
|||
|
Предметные умения |
Универсальные учебные действия |
||
|
Умеют применять изученные понятия, методы для решения задач |
Познавательные: осуществляют логические действия; формулируют ответы на вопросы. Регулятивные: умеют самостоятельно планировать альтернативные пути достижения целей, осознанно выбирать наиболее эффективные способы решения учебных задач, адекватно оценивать правильность или ошибочность выполнения учебной задачи, ее объективную трудность и собственные возможности ее решения. Коммуникативные: учитывают разные мнения и стремятся к координации различных позиций в сотрудничестве. Личностные: имеют целостное мировоззрение, соответствующее современному уровню развития науки и общественной практики |
||
|
Организация пространства |
|||
|
Формы работы |
Фронтальная (Ф); индивидуальная (И) |
||
|
Образовательные ресурсы |
• Учебник. • Задания для фронтальной и индивидуальной работы |
||
|
I этап. Актуализация опорных знаний |
|||
|
Проверка домашнего задания |
|||
|
Цель деятельности |
Совместная деятельность |
||
|
Проверить правильность выполнения домашнего задания |
(Ф/И) По готовым чертежам на доске проверить решение задач № 490, 491(a). № 490.
Дано: ∆ABC, АВ = ВС. Найти: АВ; SABC. Решение: а) АС = 12 см, ВВ1⊥ АС, ВВ1 = 8 см.
б) AС = 8 см, ∠B = 120°. Рассмотрим ∆АВВ1: ∠B1 = 90°, ∠B = 60°, следовательно, ∠A = 1/2∠B = 30°. Если ВВ1 = x, то АВ = 2x, а АВ1 = 4.
∠B = 90°, BB1= 7 см. Рассмотрим ∆АВВ1: ∠B1 = 90°, ∠A = ∠B = 45°, значит, АВ1 = ВВ1 = 7 см; AB2 = АВ12 + АВ12; АВ2 = 49 + 49 = 98; АВ = 7√2.
№ 491.
Дано: ∆АВС, ∠C = 90° СС1⊥ AB. Найти: СС1. Решение: а) Если а = 5, b = 12, то с = 144 + 25 = 169, следовательно, с = 13. 1) В ∆AСС1: СС12 = АС2 – АС12; в ∆BСС1: СС12 = BС2 - BС12, следовательно, АС2 - АС12 = ВС2 - ВС12; 144 - х2 = 25 - (13 - х)2; 144 - x2 = 25 - 169 + 26x - x2; 26x = 288; 13x = 144; 2) СС12 =АС2 - АС12
Ответ: б) Если а = 12, b = 16, то с = 20. Аналогично пункту (а) имеем: 256 - x2 = 144 - (20 - x)2; 256 - х2 = 144 - 400 + 40x - x2; 40x = 512; x = 12,8 АС1 = 12,8 см, отсюда СС12 = 162 - 12,82; СС12 = 256 - 163,84 = 92,16, следовательно, CC1 = 9,6 см. Ответ: 9,6 см |
||
|
II этап. Изучение нового материала |
|||
|
Доказательство формулы Герона |
|||
|
Цель деятельности |
Совместная деятельность |
||
|
Доказать формулу |
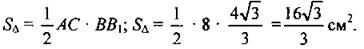
(Ф) Учитель доказывает формулу вместе с учащимися, которые дома разобрались с этой теоремой. Докажите, что площадь S треугольника со сторонами а, Ь, с выражается формулой |
||
|
Применение формулы Герона при решении задач |
|||
|
Цель деятельности |
Деятельность учителя |
Деятельность учащихся |
|
|
Показать применение формулы Герона при решении задач |
(Ф) Решить № 499 на доске и в тетради (если в классе не успевают выполнить № 499 (б), то предложить в качестве домашней работы) |
№ 499.
а) Дано: ∆АВС, АВ = 24 см, ВС = 25 см, АС = 7 см. Найти: меньшую высоту. Решение: Меньшей высотой является та высота, которая опущена на большую сторону. 1) В ∆ABD: AD2 = АВ2 - BD2; в ∆ACD: AD2 = АС2 - CD2, следовательно, АВ2 -BD2 = АС2 - CD2; 242 - х2 = 72 - (25 - х)2, следовательно, 576 - х2 = 49 - 625 + 50х - х2; 50х = 1152; х = 23,04, следовательно, BD = 23,04 см. 2) AD2 = АВ2 - BD2; AD2 = 242 - (23,04)2 = 576 - 530,8416 = 45,1584; AD = 6,72 см. б)
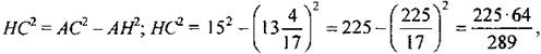
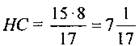
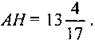
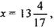
Дано: ∆АВС, АВ = 17 см, ВС = 8 см, АС = 15 см. Найти: СН. Решение: 1) В ∆АСН: НС2 = АС2 - АН2; в ∆ВСН: НС2 = ВС2 - ВН2, следовательно, АС2 - АН2 = ВС2 - ВН2, 225 - x2 = 64 - (17 - х)2; 225 - х2 = 64 - 289 + 34х - х2; 34х = 450; б) |
|
|
III этап. Итоги урока. Рефлексия |
|||
|
Деятельность учителя |
Деятельность учащихся |
||
|
(Ф/И) - С какой формулой познакомились на уроке? - Можно ли было решить № 499, применяя формулу Герона? |
(И) Домашнее задание: решить № 499, используя формулу Герона |
||





следовательно,