Геометрия 8 класс - Технологические карты уроков по учебнику Л. С. Атанасяна - 2015
ПРОПОРЦИОНАЛЬНЫЕ ОТРЕЗКИ. ОПРЕДЕЛЕНИЕ ПОДОБНЫХ ТРЕУГОЛЬНИКОВ - ПОДОБНЫЕ ТРЕУГОЛЬНИКИ
|
Цель деятельности учителя |
Создать условия для определения пропорциональных отрезков, рассмотрения свойства биссектрисы треугольника и применения этого свойства при решении задач |
|||
|
Термины и понятия |
Пропорциональные отрезки, биссектриса угла, отношение, пропорции, сходственные стороны, коэффициент подобия |
|||
|
Планируемые результаты |
||||
|
Предметные умения |
Универсальные учебные действия |
|||
|
У меют демонстрировать знание основных понятий, применять полученные знания для решения основных и качественных задач, контролировать процесс и результат учебной математической деятельности |
Познавательные: осуществляют логические действия; формулируют ответы на вопросы. Регулятивные: умеют самостоятельно ставить цели, выбирать и создавать алгоритмы для решения математических проблем, адекватно оценивать правильность или ошибочность выполнения учебной задачи, ее объективную трудность и собственные возможности ее решения. Коммуникативные: учитывают разные мнения и стремятся к координации различных позиций в сотрудничестве. Личностные: проявляют способность к эмоциональному восприятию математатических объектов, задач, решений, рассуждений |
|||
|
Организация пространства |
||||
|
Формы работы |
Фронтальная (Ф); индивидуальная (И) |
|||
|
Образовательные ресурсы |
• Учебник |
|||
|
I этап. Анализ контрольной работы |
||||
|
Цель деятельности |
Совместная деятельность |
|||
|
Выявить трудности, возникшие при решении задач в контрольной работе |
(Ф/И) 1. Сообщение итогов контрольной работы. 2. Анализ ошибок, допущенных учащимися в ходе работы. 3. Решение на доске задач, вызвавших затруднения у учащихся |
|||
|
II этап. Мотивация к деятельности |
||||
|
Цель деятельности |
Постановка учебной задачи |
|||
|
Подготовить учащихся к введению понятия пропорциональных отрезков |
(Ф) - Что называют отношением двух чисел? Что показывает отношение? - Отношение АВ к CD равно 2:7.0 чем это говорит? Найдите отношение CD к АВ. - В ∆АВС АВ : ВС : АС = 2 : 4 : 3, РАВC = 45 дм. Найдите стороны треугольника АВС. - Что называют пропорцией? Верны ли пропорции 1,5 : 1,8 = 25 : 30; 18 : 3 = 5 : 30? - В пропорции а : b = с : d укажите крайние и средние члены. Сформулируйте основное свойство пропорции. - Переставив средние или крайние члены пропорции, составьте три верные пропорции: а) 12 : 0,2 = 30 : 0,5; б) АВ : MN = CD : КР. - Найдите неизвестный член пропорции, a) 1x : 4,2 = 12,3 : 6; б) х : АВ = MN : КР |
|||
|
III этап. Изучение нового материала |
||||
|
Цель деятельности |
Совместная деятельность |
|||
|
Ввести понятие пропорциональных отрезков |
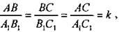
(Ф) 1. Ввести понятие отношения отрезков. Определение. Отношением отрезков АВ и CD называется отношение их длин, то есть АВ : CD. 2. Ввести понятие пропорциональных отрезков. Определение. Отрезки АВ и CD пропорциональны отрезкам А1В1 и С1D1, если АВ : А1В1 = CD : C1D1. Например: Если АВ = 5 см, CD = 7 см, А1В1 = 7,5 см, C1D1 = 10,5 см, то АВ : А1В1 = CD : C1D1, то есть отрезки АВ и CD пропорциональны отрезкам А1В1 и C1D1. 3. Ввести понятие подобных фигур (два круга, два квадрата, два мяча разных размеров, изображения на кинопленке и на экране, на фотопленке и на фотографии и т. д.). 4. Ввести понятие подобных треугольников: ∆АВС ~ ∆А1В1С1, если ∠A = ∠A1, ∠B = ∠B1, ∠C = ∠C1 и Стороны АВ и А1В1, ВС и В1С1, АС и A1C1 называют сходственными. Определение. Два треугольника называются подобными, если их углы соответственно равны и стороны одного треугольника пропорциональны сходственным сторонам другого. 5. Решить устно № 533, 534 (а, б). 6. Разобрать решение задачи № 535 (свойство биссектрисы треугольника) |
|||
|
IV этап. Закрепление изученного материала |
||||
|
Цель деятельности |
Деятельность учителя |
Деятельность учащихся |
||
|
При решении простых задач отработать понятия пропорциональных отрезков и сходственных сторон |
(Ф/И) 1. Один из учащихся решает задачу № 536 (б) на доске, остальные в тетрадях. 2. Решить самостоятельно № 541. Затем один из учеников выходит к доске, показывает решение, остальные сверяют, задают вопросы, оценивают себя |
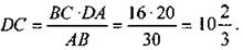
№ 536 (б).
Решение: Так как ∠C = ∠BDC, то ∆BDC - равнобедренный с основанием CD, следовательно, ВС = BD = 16. Так как BD - биссектриса ∆АВС, то Ответ: № 541. Решение:
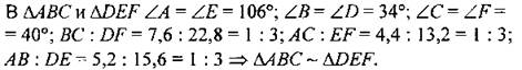
По определению подобных треугольников, два треугольника называют подобными, если их углы соответственно равны и стороны одного треугольника пропорциональны сходственным сторонам другого.
Ответ: ∆АВС ~ ∆DEF |
||
|
IV этап. Итоги урока. Рефлексия |
||||
|
Деятельность учителя |
Деятельность учащихся |
|||
|
(Ф/И) - Какие новые понятия узнали? - Какие отрезки называются пропорциональными? - Какие стороны треугольника называются сходственными? - Оцените по пятибалльной шкале, насколько вы поняли материал урока |
(И) Домашнее задание: п. 58, 59, вопросы 1, 2, 3; решить задачи № 536 (а), 538, 542 |
|||


