Геометрия 8 класс - Технологические карты уроков по учебнику Л. С. Атанасяна - 2015
ОТНОШЕНИЕ ПЛОЩАДЕЙ ПОДОБНЫХ ТРЕУГОЛЬНИКОВ - ПОДОБНЫЕ ТРЕУГОЛЬНИКИ
|
Цель деятельности учителя |
Создать условия для закрепления понятий пропорциональных отрезков и подобных треугольников; для совершенствования навыков решения задач на применение свойства биссектрисы треугольника и определения подобных треугольников; для рассмотрения теоремы об отношении площадей подобных треугольников и ее применения в процессе решения задач |
|||
|
Термины и понятия |
Пропорциональные отрезки, отношение, пропорции, сходственные стороны, коэффициент подобия |
|||
|
Планируемые результаты |
||||
|
Предметные умения |
Универсальные учебные действия |
|||
|
Умеют демонстрировать знание основных понятий, применять полученные знания для решения основных и качественных задач, контролировать процесс и результат учебной математической деятельности |
Познавательные: осуществляют логические действия; формулируют ответы на вопросы. Регулятивные: умеют самостоятельно ставить цели, выбирать и создавать алгоритмы для решения математических проблем, адекватно оценивать правильность или ошибочность выполнения учебной задачи, ее объективную трудность и собственные возможности ее решения. Коммуникативные: учитывают разные мнения и стремятся к координации различных позиций в сотрудничестве, умеют работать в группе. Личностные: проявляют способность к эмоциональному восприятию математатических объектов, задач, решений, рассуждений |
|||
|
Организация пространства |
||||
|
Формы работы |
Фронтальная (Ф); индивидуальная (И); групповая (Г) |
|||
|
Образовательные ресурсы |
• Учебник. • Задания для индивидуальной, фронтальной работы |
|||
|
I этап. Активизация знаний учащихся |
||||
|
Цель деятельности |
Деятельность учителя |
Деятельность учащихся |
||
|
Выявить трудности, возникшие при выполнении домашнего задания; подготовить учащихся к восприятию новой темы |
(Ф/И) 1. К доске вызвать троих учащихся: один из них готовит доказательство теоремы, двое оформляют на доске задачи № 538 и № 542. 2. В это время остальные учащиеся отвечают на теоретические вопросы, а затем решают задачи на готовых чертежах. 1) Что называется отношением двух отрезков? 2) В каком случае говорят, что отрезки АВ и CD пропорциональны отрезкам А1В1 и С1D1? 3) Дайте определение подобных треугольников. Задачи:
3) Двое учащихся работают по индивидуальным карточкам. 1-й уровень (карточка 1). 1. Треугольники KPF и ЕМТ подобны, причем КР : ME = PF : МТ = KF : ЕТ, ∠F = 30°, ∠E = 49°. Найдите остальные углы этих треугольников. 2. Биссектриса BD делит сторону АС треугольника АВС на отрезки AD и CD, равные соответственно 7 см и 10,5 см. Найдите периметр треугольника АВС, если известно, что АВ = 9 см. 2-й уровень (карточка 2). 1. Дано: ∆BDC ~ ∆ABC, AD = 16 см, DC = 9 см. ∠ABC и ∠BDA - тупые. Найти: ВС.
2. Периметр треугольника равен 70 см, две его стороны равны 24 и 32 см. Найдите отрезки, на которые биссектриса треугольника делит его третью сторону |
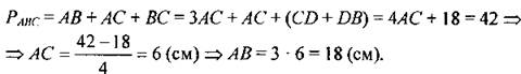
№ 538.
AD - биссектриса ∆ABC =>
Ответ: AС = 6 см, АВ = 18 см. № 542.
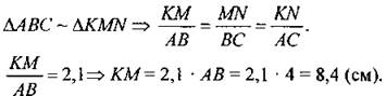
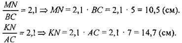
Ответ: КМ = 8,4 см, MN = 10,5 см, KN = 14,7 см |
||
|
II этап. Изучение новой темы |
||||
|
Цель деятельности |
Совместная деятельность |
|||
|
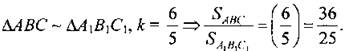
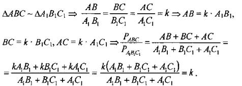
Доказать теорему об отношении площадей подобных треугольников |
(Г) 1. Распределить учащихся по творческим группам и предложить обсудить в группах задачу: “Треугольники АВС и А1В1С1 подобны с коэффициентом подобия k. Найти отношение их площадей”. 2. Заслушать варианты решений, выбрать из предложенных наиболее удачный и решение записать в тетрадях и на доске |
|||
|
III этап. Закрепление изученного материала |
||||
|
Цель деятельности |
Деятельность учителя |
Деятельность учащихся |
||
|
Научиться применять доказанную теорему |
(Ф/И) 1. Решить письменно задачу № 545 на доске и в тетрадях (записать краткое решение). Один из учащихся самостоятельно решает задачу на доске, остальные - в тетрадях. После завершения работы проверяется правильность решения. (Г) 2. Решить задачи № 547, 548 (обсудить принцип решения задач, варианты решений заслушать всем классом) |
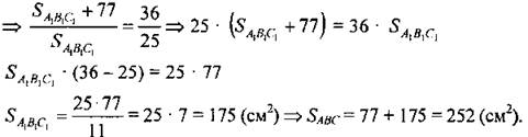
№ 545.
SABC на 77 см2 больше
Ответ: 175 см2 и 252 см2. № 547. Краткое решение:
№ 548. Краткое решение:
Ответ: 5 : 2 |
||
|
Самостоятельная работа |
||||
|
Цель деятельности |
Задания для самостоятельной работы |
|||
|
Закрепить полученные знания |
(И) Учащиеся выполняют самостоятельную работу на листочках и сдают на проверку учителю (если время на уроке осталось, можно выполнить самопроверку) (см. Ресурсный материал) |
|||
|
IV этап. Итоги урока. Рефлексия |
||||
|
Деятельность учителя |
Деятельность учащихся |
|||
|
(Ф/И) - Оцените свою работу на уроке. - На каком этапе урока у вас возникли наибольшие затруднения? |
(И) Домашнее задание: п. 60, вопрос 4; повторить п. 52; решить задачи № 544, 543, 546, 549; решить задачу (по желанию): В трапеции ABCD (AD ll ВС) АС - биссектриса ∠A делит трапецию на два подобных треугольника АВС и ACD, АВ = 9 см, CD = 12 см. Найдите периметр трапеции |
|||
Ресурсный материал
Самостоятельная работа
Вариант I
1. АВ и A1B1, ВС и В1С1 - сходственные стороны подобных треугольников АВС и А1В1С1, ВС : B1С1 = 2,5, А1С1 = 4 см, ∠B = 47°21’. Найдите ∠B1, АС и отношение этих треугольников.
2. Площади двух подобных треугольников равны 16 см2 и 25 см2. Одна из сторон первого треугольника равна 2 см. Найдите сходственную ей сторону другого треугольника.
3*. Дано: ∆ВЕС ~ ∆AВС, АЕ = 16 см, СЕ = 9 см ∠BEC - тупой. Найти: ВС.

Вариант II
1. Треугольники АВС и А1В1С1 подобны. ВС и В1С1, АС и А1С1 - сходственные стороны. Найдите ∠C1, АВ и отношение площадей этих треугольников, если АС : А1С1 = 4,4, А1В1 = 5 см, ∠C = 15°31’.
2. Две сходственные стороны подобных треугольников равны 2 см и 5 см. Площадь первого треугольника 8 см2. Найдите площадь второго треугольника.
3*. Дано: ∆ABC ~ ∆DEC, DE не параллелен АВ, AD = 3 см, DC = 5 см, ВС = 7 см. Найти: СЕ.











