Геометрия 8 класс - Технологические карты уроков по учебнику Л. С. Атанасяна - 2015
ПРОПОРЦИОНАЛЬНЫЕ ОТРЕЗКИ В ПРЯМОУГОЛЬНОМ ТРЕУГОЛЬНИКЕ - ПОДОБНЫЕ ТРЕУГОЛЬНИКИ
|
Цель деятельности учителя |
Создать условия для рассмотрения задачи о пропорциональных отрезках в прямоугольном треугольнике |
|
|
Термины и понятия |
Пропорциональные отрезки, отношение, пропорции, среднее пропорциональное |
|
|
Планируемые результаты |
||
|
Предметные умения |
Универсальные учебные действия |
|
|
Владеют базовым понятийным аппаратом по основным разделам содержания |
Познавательные: понимают и используют математические средства наглядности для иллюстрации, интерпретации, аргументации; устанавливают причинно-следственные связи, строят логическое рассуждение, делают умозаключения и выводы. Регулятивные: принимают и сохраняют цели и задачи учебной деятельности. Коммуникативные: учитывают разные мнения и стремятся к координации различных позиций в сотрудничестве; умеют ясно, точно, грамотно излагать свои мысли в устной и письменной речи. Личностные: проявляют познавательный интерес к изучению предмета |
|
|
Организация пространства |
||
|
Формы работы |
Фронтальная (Ф); индивидуальная (И); групповая (Г) |
|
|
Образовательные ресурсы |
• Учебник. • Задания для фронтальной работы |
|
|
I этап. Активизация знаний учащихся |
||
|
Цель деятельности |
Совместная деятельность |
|
|
Выявить трудности при выполнении домашнего задания; проверить умение применять изученный материал при решении простейших задач |
(Ф/И) 1. Проверка домашнего задания. Один из учеников у доски показывает решение № 618.
Дано: ABCD - параллелограмм. М є CD. СМ = MD; N є ВС. BN = NC: AN ∩ BD = Е, АМ ∩ BD = F. Доказать: BE = EF = DF. Доказательство: 1) Рассмотрим ∆ABC. AN, ВО - медианы, по свойству медиан BE : ЕО = 2 : 1. 2) Аналогично в ACD: DF : FO = 2 : 1. 3) Так как в параллелограмме ABCD диагонали точкой пересечения делятся пополам, то ВО = OD. BE + ЕО = FO + FD, то есть BE = EF = DF. 2х = 1х + 1х = 2х, что и требовалось доказать. (И) 2. Самостоятельная работа. Вариант I Площадь ромба 48 см2. Найдите площадь четырехугольника, вершинами которого являются середины сторон данного ромба. Вариант II Площадь прямоугольника равна 36 см2. Найдите площадь четырехугольника, вершинами которого являются середины сторон данного прямоугольника |
|
|
II этап. Мотивация к деятельности |
||
|
Цель деятельности |
Постановка учебной задачи |
|
|
При решении задач по готовым чертежам подготовить учащихся к восприятию новой темы |
(Ф) Решение задач по готовым чертежам с целью подготовки учащихся к восприятию нового материала.
Дано: ∠В = 90°, ∠C = 35°. Доказать: а) ∆ABD ~ ∆BCD; б) ∆ABD ~ ∆АСВ.
Дано: ∠B = 90°. Найти: BD. |
|
|
III этап. Изучение нового материала |
||
|
Цель деятельности |
Совместная деятельность |
|
|
Ввести понятие среднего геометрического двух отрезков, отработать решение задач, помочь в построении доказательства |
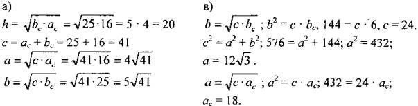
1. Среднее геометрическое двух отрезков. Ввести понятие среднего пропорционального (среднего геометрического) двух отрезков. Определение. Отрезок XY называется средним пропорциональным (средним геометрическим) для отрезков АВ и CD, если 2. Решение задач (устно). 1. Найти длину среднего пропорционального отрезков MN и КР, если MN = 9 см, КР = 16 см. 2. Среднее пропорциональное отрезков АВ и CD равно 10, а разность их длин равна 21. Найти длины отрезков АВ и CD. (Г) 3. Творческое задание. (Класс разбить на группы.) Задача № 2 (с. 146-147, п. 65 учебника), утверждения 1° и 2° (с. 147, п. 65). 1-я группа: Доказать, что высота прямоугольного треугольника, проведенная из вершины прямого угла, разделяет треугольник на два подобных прямоугольных треугольника, каждый из которых подобен данному треугольнику. 2-я группа: Доказать, что катет прямоугольного треугольника есть среднее пропорциональное для гипотенузы и отрезка гипотенузы, заключенного между катетом и высотой, проведенной из вершины прямого угла. (Данные задачи желательно дать группам на отдельных карточках для обеспечения максимально самостоятельного подхода к решению задач.) |
|
|
IV этап. Закрепление изученного материала |
||
|
Цель деятельности |
Деятельность учителя |
Деятельность учащихся |
|
Закрепить полученные знания |
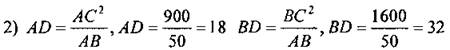
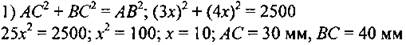
(Ф/И). 1. Решить у доски и в тетрадях № 572 (а, в). 2. Решить № 573 (устно). 3. Решить № 575 |
№ 572 (а, в).
№ 575.
Дано: ∆АВС, ∠C = 90°, АС : ВС = 3 : 4, АВ = 50 мм, CD ⊥ АВ. Найти: AD, BD. Решение:
Ответ: 18 мм; 32 мм |
|
V этап. Итоги урока. Рефлексия |
||
|
Деятельность учителя |
Деятельность учащихся |
|
|
(Ф/И) - С какими понятиями познакомились на уроке? - Какой этап урока оказался для вас наиболее сложным? - Составьте синквейн к уроку |
(И) Домашнее задание: решить № 572 (б), 574, 576 |
|





