Геометрия 8 класс - Технологические карты уроков по учебнику Л. С. Атанасяна - 2015
ПРОПОРЦИОНАЛЬНЫЕ ОТРЕЗКИ В ПРЯМОУГОЛЬНОМ ТРЕУГОЛЬНИКЕ - Урок 2 - ПОДОБНЫЕ ТРЕУГОЛЬНИКИ
|
Цель деятельности учителя |
Создать условия для совершенствования навыков решения задач на применение теории подобных треугольников |
|||
|
Термины и понятия |
Пропорциональные отрезки, отношение, пропорции, среднее пропорциональное |
|||
|
Планируемые результаты |
||||
|
Предметные умения |
Универсальные учебные действия |
|||
|
Владеют навыками устных, письменных, инструментальных вычислений |
Познавательные: умеют видеть математическую задачу в контексте проблемной ситуаций. Регулятивные: умеют адекватно оценивать правильность или ошибочность выполнения учебной задачи. Коммуникативные: учитывают разные мнения и стремятся к координации различных позиций в сотрудничестве. Личностные: проявляют креативность мышления, инициативность, находчивость, активность при решении геометрических задач |
|||
|
Организация пространства |
||||
|
Формы работы |
Фронтальная (Ф); индивидуальная (И) |
|||
|
Образовательные ресурсы |
• Учебник. • Задания для индивидуальной работы |
|||
|
I этап. Активизация знаний учащихся |
||||
|
Цель деятельности |
Совместная деятельность |
|||
|
Выявить трудности при выполнении домашнего задания |
(Ф/И) Проверка домашнего задания. 1. Вызвать троих учащихся для решения домашнего задания. 2. Подготовить доказательства следующих свойств прямоугольного треугольника: 1) Высота прямоугольного треугольника, проведенная к гипотенузе, делит его на два подобных треугольника, каждый из которых подобен данному. 2) Высота прямоугольного треугольника, проведенная из вершины прямого угла, есть среднее пропорциональное для отрезков, на которые делится гипотенуза этой высотой. 3) Катет прямоугольного треугольника есть среднее пропорциональное для гипотенузы и отрезка гипотенузы, заключенного между катетом и высотой, проведенной из вершины прямого угла |
|||
|
II этап. Решение по готовым чертежам |
||||
|
Цель деятельности |
Деятельность учителя |
Деятельность учащихся |
||
|
На простых задачах закрепить знания о пропорциональных отрезках |
(И) Учащиеся решают задачи самостоятельно, затем проверяют их у доски.
Найти: СН.
Найти: МС.
Найти: АВ, ВС.
Найти: х; у, z |
Ответы: 1. СН = 10. 2. МС = 9. 3. АВ = 5√10, ВС = 5√3. 4. х = 6√5, у = 3√5, z = 3 |
||
|
III этап. Решение задач |
||||
|
Цель деятельности |
Деятельность учителя |
Деятельность учащихся |
||
|
Совершенствовать навыки решения задач |
(Ф/И) Учащиеся решают у доски и в тетрадях № 577, 614 |
№ 577.
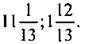
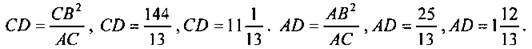
Дано: ∆АВС, АВ = 5 см, ВС = 12 см, АС = 13 mm, BD ⊥ AC. Найти: AD, CD. Решение: 1) Так как 52 + 122 = 132, 25 + 144 = 169, то ∆АВС - прямоугольный и ∠B = 90°. 2) Ответ: № 614.
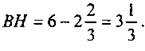
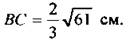
Дано: ∆ABCD - трапеция, ∠A = 90°, АС ⊥ BD, BD ∩ СА = О, АВ = 6 см, AD = 4 см. Найти: DC, DB, СВ. Решение: 1) По теореме Пифагора ВD2 = АВ2 + АС2; ВD2 = 36 + 16 = 52; BD = 2√13 см. 2) Рассмотрим ∆ADC и ∆BAD; ∠D = ∠A = 90°; ∠C = ∠D,следовательно, ∆ADC ~ ∆BAD (по двум углам), следовательно,
3) По теореме Пифагора Ответ: |
||
|
IV этап. Итоги урока. Рефлексия |
||||
|
Деятельность учителя |
Деятельность учащихся |
|||
|
(Ф/И) - Подведите самостоятельно итоги урока. - Какие задачи вызвали у вас наибольшее затруднения? Почему? |
(И) Домашнее задание: № 607, 623 |
|||






