Геометрия 8 класс - Технологические карты уроков по учебнику Л. С. Атанасяна - 2015
ЗНАЧЕНИЯ СИНУСА, КОСИНУСА И ТАНГЕНСА ДЛЯ УГЛОВ 30°, 45° И 60° - ПОДОБНЫЕ ТРЕУГОЛЬНИКИ
|
Цель деятельности учителя |
Создать условия для обучения учащихся вычислению значений синуса, косинуса и тангенса для углов 30°, 45° и 60° |
|||||||
|
Термины и понятия |
Синус, косинус, тангенс, основное тригонометрическое тождество |
|||||||
|
Планируемые результаты |
||||||||
|
Предметные умения |
Универсальные учебные действия |
|||||||
|
Владеют геометрическим языком |
Познавательные: осознанно владеют логическими действиями определения понятий, обобщения, установления аналогий. Регулятивные: умеют выдвигать гипотезы при решении учебных задач и понимают необходимость их проверки. Коммуникативные: учитывают разные мнения и стремятся к координации различных позиций в сотрудничестве. Личностные: креативность мышления, инициативность, находчивость, активность при решении геометрических задач |
|||||||
|
Организация пространства |
||||||||
|
Формы работы |
Фронтальная (Ф); индивидуальная (И) |
|||||||
|
Образовательные ресурсы |
• Учебник. • Задания для индивидуальной работы |
|||||||
|
I этап. Активизация знаний учащихся |
||||||||
|
Цель деятельности |
Совместная деятельность |
|||||||
|
Проверить уровень усвоения теоретического материала |
(Ф) 1. Проверка домашнего задания.
Записать значения sina, cosa, tga для данных треугольников. 2. Катеты треугольника равны 3 см и 4 см. Чему равны синусы его острых углов? 3. Гипотенуза АВ прямоугольного треугольника равна 10 см, а катет ВС равен 8 см. Чему равны тангенсы его острых углов? (И) 4. Работа по карточкам. Карточка № 1. 1) В треугольнике MNK ∠K = 90°, MN = 13 см, NK = 5 см. Найдите синусы, косинусы и тангенсы углов M и N. 2) Найдите cosα и tgα, если sinα = 0,3. Карточка № 2. 1) Постройте угол А, равный α, такой, что: а) sinα = 3/5; б) tgα = 2/3. 2) В равнобедренном треугольнике АВС (АВ = ВС) основание равно 12 см, а высота, проведенная к ней, 8 см. Найдите синусы, косинусы и тангенсы углов при основании |
|||||||
|
II этап. Изучение нового материала |
||||||||
|
Цель деятельности |
Совместная деятельность |
|||||||
|
Научить находить значения синусов, косинусов и тангенсов для углов 30°, 45°, 60° |
(Ф) Используя текст учебника (п. 69) объяснить, как вычисляются значения синусов, косинусов и тангенсов для углов 30°, 45°, 60°. В ходе объяснения на доске и в тетрадях заполнить таблицу: |
|||||||
|
α |
30° |
45° |
60° |
|||||
|
sinα |
0,5 |
√2/2 |
√3/2 |
|||||
|
cosα |
√3/2 |
√2/2 |
0,5 |
|||||
|
tgα |
√3/3 |
1 |
√3 |
|||||
|
III этап. Закрепление изученного материала |
||||||||
|
Цель деятельности |
Деятельность учителя |
Деятельность учащихся |
||||||
|
Формировать навыки решения прямоугольных треугольников, используя синус, косинус и тангенс острого угла |
(Ф/И) 1. Решить № 593 (а) - для значения α = 30°; № 593 (б) - для значения α = 45° (устно); № 601, 594, 597, 598 (а). 2. Решить на доске и в тетради № 594. 3. Решить № 597 |
№ 594.
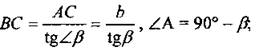
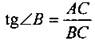
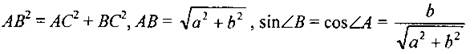
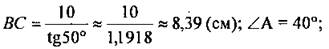
Дано: ∆ABC, ∠C = 90°, ∠B = β, АС = b. Выразить: ВС и ∠A, АВ. Решение: АС АС b 1) 2) Если b = 10 см, β = 50°, то Ответ: № 597.
Дано: ∆АВС, ∠C = 90°, ВС = а, АС = b. Выразить: АС, ∠A и ∠B. Решение: 1) 2) Если a = 12 см, b = 15 см, то |
||||||
|
IV этап. Итоги урока. Рефлексия |
||||||||
|
Деятельность учителя |
Деятельность учащихся |
|||||||
|
(Ф/И) Предложить дать рефлексивную оценку через выполнение определенных движений: - присесть на корточки - очень низкая оценка, негативное отношение; - присесть, немного согнув ноги в коленях, - невысокая оценка, безразличное отношение; - обычная поза стоя, руки по швам - удовлетворительная оценка, спокойное отношение; - поднять руки в локтях - хорошая оценка, позитивное отношение; - поднять руки вверх, хлопая в ладоши, подняться на носочки - очень высокая оценка, восторженное отношение |
(И) Домашнее задание: № 595, 596, 598 (б), 600; подготовиться к самостоятельной работе по § 3 |
|||||||




или