Геометрия 8 класс - Технологические карты уроков по учебнику Л. С. Атанасяна - 2015
СООТНОШЕНИЯ МЕЖДУ СТОРОНАМИ И УГЛАМИ ПРЯМОУГОЛЬНОГО ТРЕУГОЛЬНИКА. РЕШЕНИЕ ЗАДАЧ - ПОДОБНЫЕ ТРЕУГОЛЬНИКИ
|
Цель деятельности учителя |
Создать условия для совершенствования навыков решения прямоугольных треугольников |
||
|
Термины и понятия |
Синус, косинус, тангенс, основное тригонометрическое тождество |
||
|
Планируемые результаты |
|||
|
Предметные умения |
Универсальные учебные действия |
||
|
Владеют геометрическим языком |
Познавательные: осознанно владеют логическими действиями определения понятий, обобщения, установления аналогий. Регулятивные: умеют адекватно оценивать правильность или ошибочность выполнения учебной задачи. Коммуникативные: учитывают разные мнения и стремятся к координации различных позиций в сотрудничестве. Личностные: проявляют способность к эмоциональному восприятию математических объктов, задач, решений, рассуждений |
||
|
Организация пространства |
|||
|
Формы работы |
Фронтальная (Ф); индивидуальная (И) |
||
|
Образовательные ресурсы |
• Учебник. • Задания для индивидуальной работы |
||
|
I этап. Активизация опорных знаний учащихся |
|||
|
Цель деятельности |
Совместная деятельность |
||
|
Проверить уровень усвоения теоретического материала |
(Ф/И) Проверка домашнего задания (см. Ресурсный материал) |
||
|
II этап. Решение задач |
|||
|
Цель деятельности |
Деятельность учителя |
Деятельность учащихся |
|
|
Совершенствовать навыки решения задач |
(Ф) Решить задачи № 601, № 602 у доски и в тетрадях |
||
|
III этап. Самостоятельная работа |
|||
|
Цель деятельности |
Задания для самостоятельной работы |
||
|
Проверить уровень сформированности навыков решения прямоугольных треугольников |
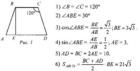
(И) Вариант I В равнобедренной трапеции меньшее основание равно 4 см, боковая сторона равна 6 см, а один из углов трапеции равен 120°. Найдите площадь трапеции. Вариант II В прямоугольной трапеции меньшее основание равно 3 см, большая боковая сторона 4 см, а один из углов равен 150°. Найдите площадь трапеции. Решение: Вариант I
Вариант II
|
||
|
IV этап. Итоги урока. Рефлексия |
|||
|
Деятельность учителя |
Деятельность учащихся |
||
|
(Ф/И) - Оцените свою работу на уроке. - Продолжите предложение: “Я могу...” |
(И) Домашнее задание: № 603, 621,626 |
||
Ресурсный материал
Домашнее задание
Найдите х.

Ответы: ![]()

