Геометрия 8 класс - Технологические карты уроков по учебнику Л. С. Атанасяна - 2015
ПОДГОТОВКА К КОНТРОЛЬНОЙ РАБОТЕ - ПОДОБНЫЕ ТРЕУГОЛЬНИКИ
|
Цель деятельности учителя |
Создать условия для совершенствования навыков решения прямоугольных треугольников, применения подобия |
|||||||||
|
Термины и понятия |
Синус, косинус, тангенс |
|||||||||
|
Планируемые результаты |
||||||||||
|
Предметные умения |
Универсальные учебные действия |
|||||||||
|
Владеют геометрическим языком |
Познавательные: осознанно владеют логическими действиями определения понятий, обобщения, установления аналогий. Регулятивные: умеют адекватно оценивать правильность или ошибочность выполнения учебной задачи. Коммуникативные: учитывают разные мнения и стремятся к координации различных позиций в сотрудничестве. Личностные: проявляют способность к эмоциональному восприятию математических объктов, задач, решений, рассуждений |
|||||||||
|
Организация пространства |
||||||||||
|
Формы работы |
Фронтальная (Ф); индивидуальная (И) |
|||||||||
|
Образовательные ресурсы |
• Учебник. • Задания для индивидуальной работы |
|||||||||
|
I этап. Активизация знаний учащихся |
||||||||||
|
Цель деятельности |
Совместная деятельность |
|||||||||
|
Подготовить учащихся к контрольной работе |
(И) Провести тест с целью повторения основных теоретических фактов с последующей самопроверкой. Вариант I
Для данного треугольника справедливо равенство:
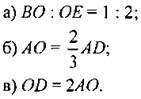
2. Для данного треугольника (рис. 1) справедливо равенство: а) АВ : ВС = BD : DC; б) АВ : AD = ВС : DC; в) АВ : АС = BD : АВ.
Для данного треугольника справедливо равенство:
4. Треугольник, образованный средними линиями прямоугольного треугольника, является: а) равносторонним; б) прямоугольным; в) равнобедренным.
MN - средняя линия треугольника АВС, если:
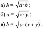
Для данного треугольника справедливо равенство:
Для данного треугольника справедливо равенство:
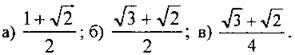
8. Значение выражения sin 60° + cos 45° равно:
Вариант II
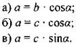
Для данного треугольника справедливо равенство:
2. Для данного треугольника (рис. 1) справедливо равенство:
Для данного треугольника справедливо равенство:
4. Треугольник, образованный средними линиями равнобедренного треугольника, является: а) прямоугольным; б) равносторонним.
EF - средняя линия треугольника MNK, если:
Для данного треугольника справедливо равенство:
Для данного треугольника справедливо равенство:
8. Значение выражения sin 45° + cos 60° равно:
|
|||||||||
|
1 |
2 |
3 |
4 |
5 |
6 |
7 |
8 |
|||
|
Вариант I |
в |
а |
б |
б |
а |
в |
а |
б |
||
|
Вариант II |
б |
в |
а |
в |
б |
а |
б |
в |
||
|
II этап. Решение задач по готовым чертежам |
||||||||||
|
Цель деятельности |
Совместная деятельность |
|||||||||
|
Совершенствовать навыки решения задач |
(Ф/И) 1. Проанализировать ошибки, допущенные в тесте. 2. Решить как можно больше задач, записав в тетрадях краткое решение; самые простые задачи можно решить устно, записав промежуточные результаты на рисунке.
Найти: ВС, АС, SABC.
Найти: МК, MN.
Дано: ME = b, ∠MPE = β. Найти: МР и РА.
Дано: BF - биссектриса. Найти: BF.
Дано: ABCD - прямоугольник. Найти: CD, АС, SABCD.
Дано: MN : МК = 5 : 3, АС + ВС = 48. Найти: MN, МК.
Дано: АВМН - прямоугольник. Найти: ВН.
Дано: ABCD - трапеция. Найти: SABCD.
Дано: ABCD - трапеция, АМ = 10 см. Найти: CF. 10)
Дано: СЕ ll BF ll АК, СЕ + BF + АК = 21. Найти: CE, BF, АК. |
|||||||||
|
III этап. Итоги урока. Рефлексия |
|
|
Деятельность учителя |
Деятельность учащихся |
|
(Ф/И) - Оцените свою работу, работу своего соседа по парте. - Оцените степень готовности к контрольной работе |
(И) Домашнее задание: задачи, которые не успели сделать в классе |































