Поурочные разработки по Алгебре для 9 класса к учебнику Ю.Н. Макарычева
Некоторые приемы решения целых уравнений (факультативное занятие) - Неравенства с одной переменной - Уравнения и неравенства с одной переменной
Цель: рассмотреть приемы решения уравнений высоких степеней.
Ход урока
I. Сообщение темы и цели урока
II. Повторение и закрепление пройденного материала
1. Ответы на вопросы по домашнему заданию (разбор нерешенных задач).
2. Контроль усвоения материала (самостоятельная работа).
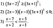
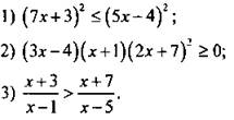
Вариант 1
Решите неравенство.

Вариант 2
Решите неравенство.

III. Изучение нового материала
В начале § 5 мы рассмотрели два основных способа решения уравнений высоких степеней: 1) разложение многочлена на множители и 2) использование замены неизвестной. На этом уроке обсудим другие способы решения уравнений вида Pn(х) = 0, где Рn(х) - многочлен n-й степени ![]()
Приведем некоторые утверждения о корнях многочлена Рn(х):
1. Многочлен n-й степени имеет не более и корней (с учетом их кратностей). Например, многочлен третьей степени не может иметь четыре корня.
2. Многочлен нечетной степени имеет хотя бы один корень. Например, многочлены первой, третьей, пятой и т. д. степени имеют хотя бы один корень. Многочлены четной степени корней могут и не иметь.
3. Если на концах отрезка [а; b] значения многочлена имеют разные знаки (т. е. Рn(а) · Рn(b) < 0), то на интервале (а; b) находится хотя бы один корень. Это утверждение широко используется для приближенного вычисления корней многочлена.
4. Если число с является корнем многочлена Рn(х), то этот многочлен можно представить в виде произведения Рn(х) = (х - с)Рn-1(х), где Рn-1(x) - многочлен (n - 1)-й степени. Другими словами, многочлен Рn(х) можно разделить без остатка на двучлен (х - с). Это позволяет уравнение n-й степени сводить к уравнению (n - 1)-й степени (понижать степень уравнения).
5. Если многочлен со всеми целыми коэффициентами (причем свободный член а0 ≠ 0) имеет целый корень с, то этот корень является делителем свободного члена а0. Такое утверждение позволяет подобрать целый корень многочлена (если он есть).
Пример 1
Решим уравнение х3 + 5х2 - 4х - 2 = 0.
Если это уравнение имеет целый корень, то согласно пункту 5 он является делителем свободного члена (-2), т. е. равняется одному из чисел: ±1, ±2. Проверка показывает, что корнем уравнения является число 1. Тогда согласно пункту 4 многочлен Р3(х) = х3 + 5х2 - 4х - 2 можно представить в виде произведения Р3(х) = (х - 1)P2(х), т. е. многочлен Р3(х) можно без остатка разделить на двучлен (х - 1). Выполним такое деление «уголком»:

Напомним, что деление «уголком» осуществлялось таким образом, чтобы на каждом промежуточном этапе деления исчезала старшая степень промежуточного делимого.
Таким образом, мы фактически разложили левую часть уравнения на множители: (х - 1)(х2 + 6х + 2) = 0 (т. е. Р2(х) = х2 + 6х + 2). Случай х - 1 = 0 дает угаданный корень x1 = 1. Случай х2 + 6х + 2 = 0 дает еще два корня ![]()
На этом примере поясним приведенные утверждения:
1, 2) Уравнение третьей степени имело три корня (т. е. не более трех). При этом оно заведомо имело хотя бы один корень.
3) Найдем, например, Р(0) = -2 и Р(2) = 8 + 20 -8 - 2 = 18. На концах отрезка [0; 2] значения многочлена имели разные знаки. Поэтому на интервале (0; 2) уравнение имело корень, а именно х = 1.
Пример 2
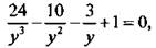
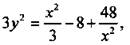
Решим уравнение 24х3 - 10х2 - 3х + 1 = 0.
Проверка показывает, что данное уравнение с целыми коэффициентами не имеет целых корней ±1 (делители свободного члена). Поэтому уравнение вообще не имеет целых корней. Предположим, что корни являются рациональными числами. Введем новую переменную у = 1/x, откуда х = 1/y. Тогда уравнение имеет вид:
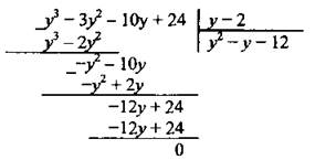
или у3 - 3у2 - 10у + 24 = 0. Попробуем подобрать корень этого уравнения среди делителей числа 24 (свободный член). Проверка показывает, что у = 2 - корень этого уравнения. Далее понижаем степень этого уравнения:

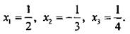
Корнями квадратного уравнения у2 - у - 12 = 0 являются числа у = -3 и у = 4. Вернемся теперь к старой неизвестной х = 1/y и найдем три корня данного уравнения: ![]()
Фактически в примерах 1-2 мы использовали разложение многочлена на множители (первый прием). Обсудим детальнее второй прием - замена неизвестной. Далеко не всегда такая замена является очевидной, что видно из следующих примеров.
Пример 3
Решим уравнение 2х4 + 3х3 - 4х2 - 3х + 2 = 0.
Отличительной особенностью этого уравнения является попарное равенство коэффициентов относительно среднего члена уравнения (коэффициент при х4 и свободный член равны 2; коэффициенты при х3 и х равны +3 и -3 соответственно). Для решения уравнений такого типа существует следующий прием. Прежде всего убедимся, что х = 0 не является корнем уравнения (действительно, если подставить х = 0 в уравнение, то получим 2 = 0). Разделим все члены уравнения на х2:
Сгруппируем члены с коэффициентами, равенство которых отмечалось выше:
Теперь можно ввести замену переменной: у = х – 1/x. Чтобы выразить соотношение
через у, возведем в квадрат замену:
откуда
Подставив выражения для
в уравнение, получим: 2(у2 + 2) + 3у - 4 = 0, или 2y2 + 3у = 0 (корни у1 = 0 и у2 = -3/2). Таким образом, для у1 имеем уравнение
или х2 - 1 = 0 (корни x1 = -1, х2 = 1), для y2:
или 2х2 + 3х - 2 = 0 (корни х3 = -2, х4 = 1/2).
Учитывая закономерности в коэффициентах этого уравнения, подобные уравнения называют возвратными, или симметричными.
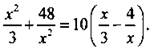
Пример 4
Решим уравнение ![]()
Попробуем аналогичный подход. Введем новую переменную
Возведем эту замену в квадрат:
и умножим на 3:
тогда
Уравнение имеет вид: 3у2 + 8 = 10у, или 3у2 - 10у + 8 = 0. Корни этого уравнения у = 2 и у = 3/4. Вернемся к старой неизвестной.
а) Уравнение
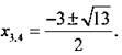
или х2 - 6х - 12 = 0, имеет корни ![]()
б) Уравнение
или х2 - 4х - 12 = 0, имеет корни х3 = -2 и х4 = 6.
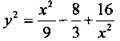
Пример 5
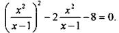
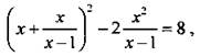
Решим уравнение ![]()
Учитывая, что в уравнении уже есть сумма квадратов двух выражений, выделим квадрат суммы. Запишем уравнение в виде
или
или
Введем новую неизвестную
и получим квадратное уравнение у - 2у - 8 = 0. Его корни у = 4 и у = -2. Вернемся к старой неизвестной.
а) Уравнение
или х2 - 4х + 4 = 0, имеет корни х1,2 = 2.
б) Уравнение
или х2 + 2х - 2 = 0, имеет корни ![]()
Часто при решении уравнений используют монотонность функций и графическую иллюстрацию решения.
Пример 6
Решим уравнение х7 + 2х - 3 = 0.
Ищем корень среди делителей числа. Проверка показывает, что корнем является число х = 1. Докажем, что других корней нет. Запишем уравнение в виде х7 = 3 - 2х. Функция у = х7 - возрастающая, а функция у = 3 - 2х - убывающая. Значит, уравнение х7 = 3 - 2х (и уравнение х7 + 2х - 3 = 0) имеет единственный корень. Это хорошо видно из приведенного рисунка.

При использовании способа разложения многочлена на множители до сих пор возникал хотя бы один множитель, являющийся многочленом первой степени. В ряде случаев этого сделать не удается: множители являются многочленами второй степени (квадратными трехчленами). Посмотрим, как можно выполнить разложение в этом случае.
Пример 7
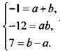
Решим уравнение х4 - x3 – 12x2 + 7х - 1 = 0.
Учитывая, что старший коэффициент уравнения равен 1 и свободный член равен (-1), предположим, что многочлен четвертой степени может быть представлен в виде произведения квадратных трехчленов (х2 + ах + 1)(х2 + bx - 1). Перемножим эти выражения: х4 + bх3 - х2 + ах3 + abx2 - ах + х2 + bх - 1 = х4 + (а + b)х3 + abx2 + (b - a)x -1. Приравняем коэффициенты при одинаковых степенях х данного и полученного многочленов. Имеем систему уравнений
Из первого и третьего уравнений системы найдем а = -4 и b = 3. Проверим, что эти значения удовлетворяют и второму уравнению.
Тогда данное уравнение будет иметь вид: (х2 - 4х + 1)(х2 + 3х -1) = 0. Уравнение х2 - 4х + 1 = 0 имеет корни
уравнение х2 + 3х - 1 = 0 - корни
Заметим, что никаким другим способом такое уравнение решить невозможно.
В конце остановимся на решении уравнений высоких степеней с параметрами. Часто удобно неизвестную и параметр поменять местами.
Пример 8
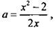
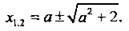
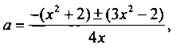
Решим уравнение х3 - 2х - (х2 + 2)а - 2а2х = 0.
Отметим, что в это уравнение переменная х входит в третьей степени (и ниже), переменная а - во второй степени (и ниже). Поэтому удобно рассматривать такое уравнение как квадратное по переменной а. Запишем его в виде 2хa2 + (х2 + 2)a - (х3 - 2х) = 0. Найдем дискриминант D = (x2 + 2)2 + 8х(х3 - 2х) = х4 + 4х2 + 4 + 8х4 - 16х2 = 9х4 - 12х2 + 4 = (3х2 - 2)2 и корни
т. е.
и a = -x. Вернемся к старой неизвестной х.
а) Уравнение
или 0 = х2 - 2ах - 2, имеет корни ![]()
б) Уравнение а = -х имеет корень х3 = -а.
IV. Задание на уроке
№ 341; 342 (а); 343 (б); 345; 346 (а); 347 (б); 348 (а); 349; 351.
V. Задание на дом
№ 342 (б); 343 (а); 344; 346 (б); 347 (а); 348 (а); 350.
VI. Творческие задания
Рекомендуем использовать творческие заданиям к урокам 25-26 (там количество задач избыточно).
VII. Подведение итогов урока