Поурочные разработки по Алгебре для 9 класса к учебнику Ю.Н. Макарычева
Иррациональные уравнения и неравенства (факультативное занятие) - Неравенства с одной переменной - Уравнения и неравенства с одной переменной
Цель: рассмотреть решение типичных иррациональных уравнений и неравенств.
Ход урока
I. Сообщение темы и цели урока
II. Повторение и закрепление пройденного материала
1. Ответы на вопросы по домашнему заданию (разбор нерешенных задач).
2. Контроль усвоения материала (самостоятельная работа).
Вариант 1
Решите уравнение.

Вариант 2
Решите уравнение.

III. Изучение нового материала
Рассматриваемая тема в школе изучается очень поверхностно, особенно иррациональные неравенства. В результате школьники или не в состоянии решить даже простейшие задачи, или допускают принципиальные ошибки при их решении. Поэтому необходимо рассмотреть решение типичных задач по этой теме.
Уравнение у(х) = 0 является иррациональным, если функция у(х) содержит корни из неизвестной величины х или выражений, зависящих от х.
Многие иррациональные уравнения могут быть решены, основываясь только на понятиях корня и ОДЗ уравнения и их свойствах.
Пример 1
Решить уравнение ![]()
Левая часть уравнения представляет собой сумму трех корней (радикалов) четной степени, каждый из которых неотрицательный. Поэтому эта сумма будет также неотрицательная. По условию задачи сумма должна равняться нулю. Это возможно только тогда, когда все три радикала одновременно равны нулю, а для этого необходимо, чтобы подкоренные выражения одновременно равнялись нулю
Так как первое и третье уравнения имеют соответственные степени 6 и 5, то решение этих уравнений представляет значительные сложности. В то же время второе уравнение является линейным, и его решение: х = 1. Теперь осталось проверить, удовлетворяет ли это решение первому и третьему уравнениям. Это действительно так, и х = 1 - решение исходного уравнения.
Основным приемом решения иррациональных уравнений считается уединение в одной части уравнения радикала и последующее возведение обоих частей уравнения в соответствующую степень. Однако при возведении в четную степень могут возникнуть посторонние корни, т. е. корни, не являющиеся решением исходного уравнения. Поэтому при использовании такого приема решения корни должны быть проверены и посторонние обязательно отброшены.
Пример 2
Решить уравнение ![]()
ОДЗ уравнения определяется условием х - 1 ≥ 0, откуда х ≥ 1. Уединим радикал в левой части:
и возведем обе части этого уравнения в квадрат: х - 1 = х2 - 6х + 9 , или 0 = х2 - 7х + 10. Корни этого квадратного уравнения: х1 = 2, х2 = 5. Легко проверить, что исходному уравнению удовлетворяет только корень х2, что и является ответом.
Заметим, что оба корня, x1 и х2, входили в ОДЗ. Однако на х можно установить еще одно ограничение. Рассматривая уравнение
видим, что левая часть этого уравнения неотрицательная. Поэтому его правая часть также должна быть неотрицательной, т. е. х - 3 ≥ 0, или х ≥ 3. Этому ограничению удовлетворяет только корень х2.
Достаточно часто и с успехом при решении иррациональных уравнений используются замены переменных.
Пример 3
Решить уравнение 
Введем новую неизвестную
и получим уравнение у + 3/y = 4, или у2 - 4у + 3 = 0, корни которого у1 = 1, у2 = 3. Возвращаясь к переменной х, получим уравнения
или
3 - х = 2 + х (откуда х = 1/2) и
или
или 3 - х = 18 + 9х (откуда х = -3/2). Легко проверить, что оба корня, х1 = 1/2 и х2 = -3/2, удовлетворяют данному уравнению.
Пример 4
Решить уравнение ![]()
Введем замену переменной
(отметим, что 3х - 5 ≥ 0, т. е. х ≥ 5/3), тогда у2 = 3х - 5 и
Уравнение имеет вид:
или
или |у - 1| + у = 1. Решая это уравнение методом интервалов, получим: у ≤ 1. Возвращаясь к переменной х, имеем простое иррациональное неравенство
откуда х ≤ 2. Учитывая ОДЗ неравенства х ≥ 5/3, находим ответ: х ∈ [5/3; 2].
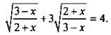
Пример 5
Решить уравнение ![]()
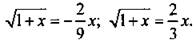
Введем новую неизвестную
и получим однородное уравнение относительно переменных х и у: 4x2 + 12ху = 27у2, или 27у2 - 12ух - 4х2 = 0. Решая это уравнение относительно у, получаем: у = -2/9х, у = 2/3х. Возвращаясь к переменной х, имеем:
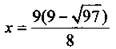
Очевидно, что в первом случае х ≤ 0 (т. к. левая часть уравнения положительная) и х ≥ -1. Возведя обе части уравнения в квадрат, придем к квадратному уравнению 0 = 4х - 81х - 81. Корни этого уравнения
Из этих корней только корень
удовлетворяет условию -1 ≤ х ≤ 0. В случае уравнения
должно быть выполнено условие х ≥ 0. Возведя обе части этого уравнения в квадрат, получим квадратное уравнение 0 = 4х2 - 9х - 9, корни которого х1 = -3/4, х2 = 3. Из этих корней только х = 3 удовлетворяет условию х ≥ 0. Таким образом, корни исходного уравнения:
и х = 3.
В случае радикалов высокой степени иррациональное уравнение удобно свести к системе алгебраических уравнений введением соответствующих замен.
Пример 6
Решить уравнение ![]()
ОДЗ уравнения х ≥ 1. Введем две новые переменные:
Тогда записать одно уравнение очень просто: у + z = 1. Но т. к. неизвестных две: у и z, то необходимо еще одно уравнение. Получим его, возведя соотношение для у в куб: у3 = 2 - х, а для z — в квадрат: z2 = х - 1, и, чтобы исключить переменную х, сложим почленно эти соотношения: у3 + z2 = (2 - х) + (х - 1), или у3 + z2 = 1. Итак, имеем систему уравнений
Из первого уравнения найдем z = 1 – у и подставим это выражение во второе уравнение у3 + (1 - у)2 = 1, или у(у2 + у - 2) = 0. Корни этого уравнения у1 = 0, у2 = -2, y3 = 1. Возвращаясь к неизвестной х, получаем: у3 = 2 - х, или х = 2 - у3. Находим, соответственно, три корня данного уравнения: x1 = 2 - 03 = 0, х2 = 2 - (-2)3 = 10, х3 = 2 - 13 = 1. Легко проверить, что все три корня являются решениями исходного уравнения.
Иррациональные неравенства в школе практически не изучаются, поэтому ограничимся рассмотрением самых типичных задач этой темы. Необходимо помнить, что возводить в четную степень обе части неравенства можно только, если они неотрицательные (иначе такая операция приведет к ошибкам).
Пример 7
Решить неравенство ![]()
ОДЗ неравенства найдем из условия х - 3 ≥ 0, т. е. х ≥ 3. Но при таких значениях х правая часть неравенства отрицательная, т. е. 2 - х < 0. Так как арифметический квадратный корень
то получаем противоречие: неотрицательное выражение не превосходит отрицательную величину. Поэтому данное неравенство решений не имеет, т. е. х ∈ Ø.
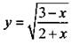
Отсутствие решения легко продемонстрировать графически. Построим графики функций
и у2 = 2 - х. Из условия задачи следует, что график линейной функции у2 должен располагаться не ниже корневой зависимости у1 . Видно, что ни для каких х это не выполняется.

Пример 8
Решить неравенство ![]()
ОДЗ неравенства определяется условием х - 3 ≥ 0 и х ≥ 3. При этих значениях х величина 2 - х < 0. Так как
а 2 - х < 0, то неравенство выполнено при всех х из ОДЗ. Итак, решение неравенства: х ∈ [3; +∞).
Заметим, что такой же ответ следует из рассмотрения рисунка предыдущего примера.
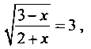
Пример 9
Решить неравенство ![]()
ОДЗ неравенства х ≥ 3. По виду неравенства можно установить еще одно ограничение на х: т. к.
а
то х - 5 ≥ 0, откуда х ≥ 5.
При х ≥ 5 обе части неравенства неотрицательные и их можно возвести в квадрат (знак неравенства при этом не меняется): х - 3 ≤ х2 - 10х + 25, или 0 ≤ х2 - 11х + 28. Решение этого неравенства: х ∈ (-∞; 4]U[7; +∞). Учитывая ограничение на х (х ≥ 5), окончательно получим: х ∈ [7; +∞).
Можно также дать графическую иллюстрацию полученного решения. Построим графики функций
и у2 = х - 5. Из рисунка видно, что график линейной функции у2 располагается не ниже графика корневой зависимости у1 при х ∈ [7; +∞).

Пример 10
Решить неравенство ![]()
ОДЗ неравенства х ≥ 3. Так как выражение х - 5 меняет знак при х = 5, то рассмотрим два промежутка из ОДЗ: х ∈ [3; 5) и х ∈ [5; +∞).
При х ≤ [3; 5) левая часть исходного неравенства неотрицательная, а правая - отрицательная, следовательно, неравенство выполнено при всех х из рассматриваемого промежутка.
Для х ∈ [5; +∞) обе части исходного неравенства неотрицательные, их можно возвести в квадрат, знак неравенства при этом не меняется: х - 3 ≥ х2 - 10х + 25, или 0 ≥ х2 - 11х + 28. Решая это неравенство, найдем: х ∈ [4; 7]. Учитывая рассматриваемый промежуток, получим: х ∈ [5; 7].
Объединяя результаты решения на двух промежутках ОДЗ, окончательно имеем: х ∈ [3; 7]. Этот же ответ получается при рассмотрении предыдущего рисунка.
IV. Творческие задания (задания на уроке и дома)
Решите уравнение.

При каких значениях параметра а уравнение имеет два различных корня?
![]()

При каких значениях параметра а уравнение имеет единственное решение?

При каких значениях параметра а уравнение не имеет решений?

Найдите все пары (х; у) чисел х и у, для которых выполнено равенство.

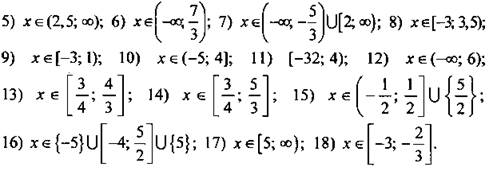
Ответы: ![]()


Решите неравенство.

Ответы: ![]()

V. Подведение итогов урока